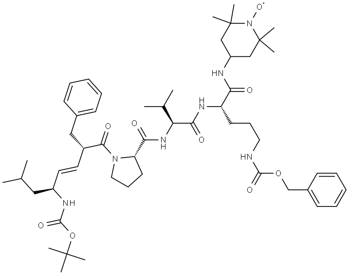
XJB-5-131
Synonym(s):;Boc-Leu-Ψ[€-CH=CH]-D-Phe-Pro-Val-Orn(Cbz)-TEMPO;XJB 5-131
- CAS NO.:866404-31-1
- Molecular Weight: 959.25
- Update Date: 2026-01-13 11:19:32
What is XJB-5-131?
Definition
ChEBI: XJB-5-131 is a peptidomimetic that is an inhibitor of ferroptosis and prevents the onset of motor decline in a mouse model for Huntington's disease. It has a role as a ferroptosis inhibitor, a radical scavenger, a peptidomimetic and a radiation protective agent. It is a member of aminoxyls, a secondary carboxamide, a L-valine derivative, a L-proline derivative, a L-ornithine derivative, a tert-butyl ester, a benzyl ester, a member of piperidines, an olefinic compound and a carbamate ester.
Biological Activity
XJB-5-131 is a mitochondria-targeted ROS and electron scavenger[1]. XJB-5-131 is a bi-functional antioxidant that comprises a radical scavenger. XJB-5-131 is a synthetic antioxidant that targets mitochondria[2]. XJB-5-131 is an effective ionizing irradiation protector and mitigator of cord blood mononuclear cells (CB MNCs)[3]. XJB-5-131 also ameliorates hemorrhagic shock (HS)-induced activation of the pro-apoptotic enzymes, caspases 3 and 7, in ileal mucosa[1].XJB-5-131 reduces apoptosis and enhances cell survival in mouse embryonic cells in vitro[2].XJB-5-131 is a radiation protector for colony-forming unit-granulocyte macrophage (CFU-GM). XJB-5-131 is an effective mitigator when added after irradiation[3]. XJB-5-131 ameliorates peroxidation of the mitochondrial phospholipid, cardiolipin, in ileal mucosal samples from rats subjected to hemorrhagic shock (HS) [1].Intravenous treatment with XJB-5-131 (2 μmol/kg) significantly prolongs the survival of rats subjected to profound blood loss (33.5 mL/kg) despite administration of only a minimal volume of crystalloid solution (2.8 mL/kg) and the absence of blood transfusion[1].XJB-5-131 reduces oxidative damage to mitochondrial DNA, maintains mitochondrial DNA copy number, suppresses motor decline and weight loss, enhances neuronal survival, and improves mitochondrial function. XJB-5-131 significantly suppresses the disease phenotypes and improves mitochondrial function in a mouse model of Huntington's disease (HD) [2].XJB-5-131 (1 mg/kg; intraperitoneally injected; three times a week up to 57 weeks) suppresses decline of weight loss and motor function in a mouse model of HD[2].
References
[1]. Carlos A Macias, et al. Treatment with a novel hemigramicidin-TEMPO conjugate prolongs survival in a rat model of lethal hemorrhagic shock. Ann Surg. 2007 Feb;245(2):305-14. [2]. Zhiyin Xun, et al. Targeting of XJB-5-131 to mitochondria suppresses oxidative DNA damage and motor decline in a mouse model of Huntington's disease. Cell Rep. 2012 Nov 29;2(5):1137-42. [3]. Julie P Goff, et al. Evaluation of potential ionizing irradiation protectors and mitigators using clonogenic survival of human umbilical cord blood hematopoietic progenitor cells. Exp Hematol. 2013 Nov;41(11):957-66.
Properties of XJB-5-131
| storage temp. | Store at -20°C |
| solubility | DMSO : 125 mg/mL (130.17 mM; Need ultrasonic) |
| form | Solid |
| color | White to off-white |
Safety information for XJB-5-131
Computed Descriptors for XJB-5-131
New Products
Mirtazapine Impurity C/Mirtazapine Lactam Impurity N,O-Dimethylhydroxylamine hydrochloride Tetrabutylammonium perchlorate N,N CARBONYL DIIMIDAZOLE 2-Amino-5-bromo-4-(trifluoromethyl)pyridine(RM for Indian lab) (RS)-beta-Amino-beta-(4-bromophenyl)propionic acid (R)-1-Benzyl-3-pyrrolidinecarbonitrile N-Nitroso hydroxy Cetrizine EP Impurity-A Noradrenaline EP Impurity D/Noradrenaline Methyl Ether Cetirizine EP Impurity A/Cetirizine CBHP Impurity Lantanoprost rc B Clidinium Bromide Impurity 2,2'-(5-methyl-1,3-phenylene)-di(2-Methylpropionitrile) 1-methyl amino-2,4-dinitro benzene 5-Methyl-1,3-benzenediacetonitrile 4-Fluorothiophenol (R)-BoroLeu-(+)-Pinanediol-CF3COOH 4-(5-amino-1-methyl-1h-benzoimidazol-2-yl)-butyric acid isopropyl ester. 3,4 Diethoxy Benzylcyanide 2-Chloro Benzylcyanide 3-chlorobenzyl cyanide 3,4 Dimethoxy Benzylcyanide valeronitrile 4-Bromo BenzylcyanideYou may like
-
XJB-5-131 CAS 866404-31-1View Details
866404-31-1 -
Bendamustine deschloroethyl acid ethyl ester 2517968-40-8 NLT 95%View Details
2517968-40-8 -
Acebutolol EP Impurity K NLT 95%View Details
74143-33-2 -
Clidinium Bromide Impurity NLT 95%View Details
.6581-06-2 -
192110-67-2 NLT 95%View Details
192110-67-2 -
Cetirizine EP Impurity A/Cetirizine CBHP Impurity NLT 95%View Details
59872-62-1 -
.2005-04-1 N-Nitroso hydroxy Cetrizine EP Impurity-A NLT 95%View Details
.2005-04-1 -
145773-22-1 Lantanoprost rc B NLT 95%View Details
145773-22-1
