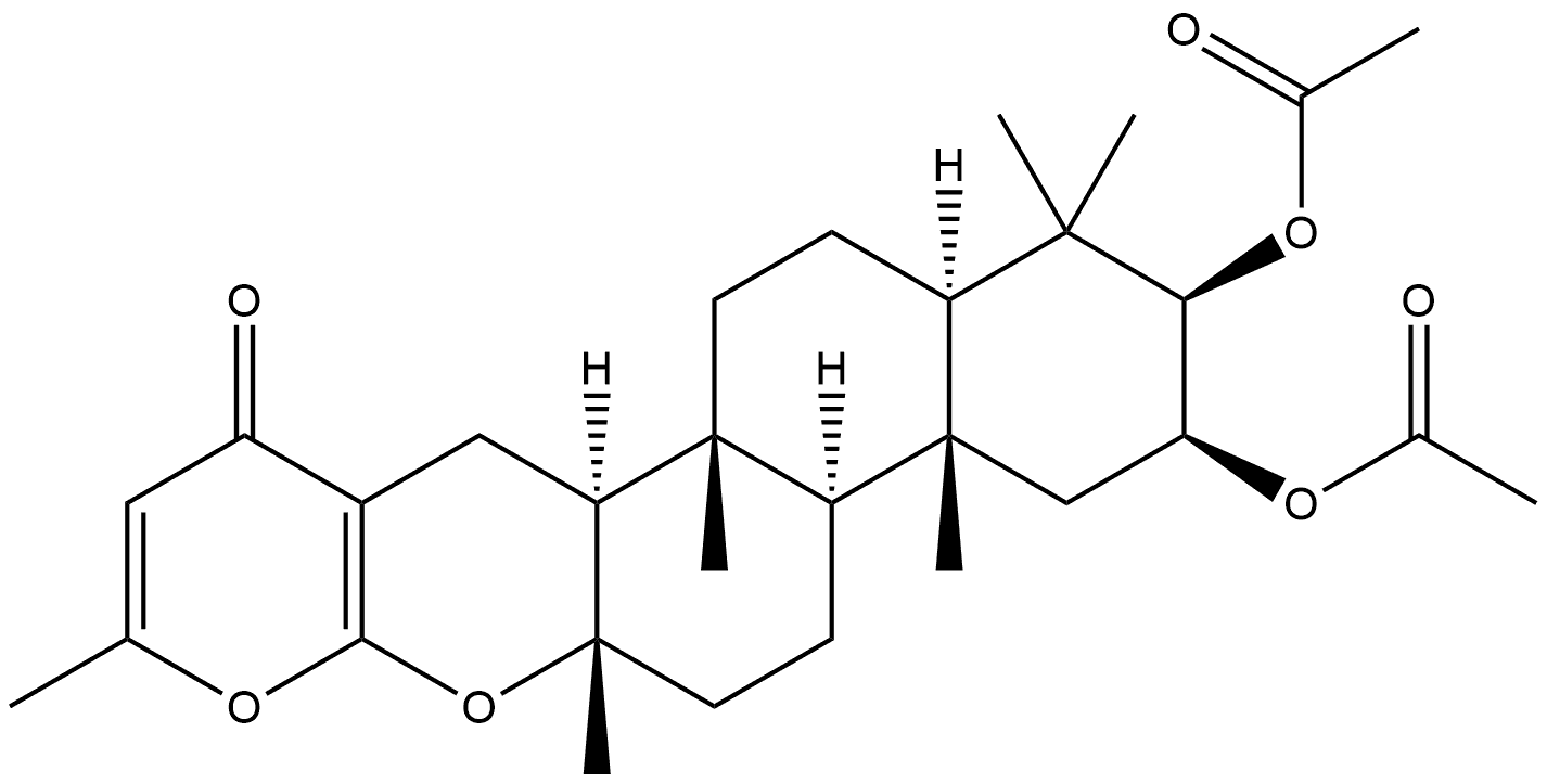
Sartorypyrone B
- CAS NO.:1452396-11-0
- Empirical Formula: C30H42O7
- Molecular Weight: 514.65
- Update Date: 2025-04-17 18:22:24
What is Sartorypyrone B?
Biological Activity
Sartorypyrone B is a fungal metabolite that has been found in N. fischeri and has anticancer activity.1 It inhibits the growth of MCF-7, H460, and A375 cancer cells (GI50s = 17.8, 20.5, and 25 μM, respectively).
References
|1. Eamvijarn, A., Gomes, N.M., Dethoup, T., et al. Bioactive meroditerpenes and indole alkaloids from the soil fungus Neosartorya fischeri (KUFC 6344), and the marine-derived fungi Neosartorya laciniosa (KUFC 7896) and Neosartorya tsunodae (KUFC 9213). Tetrahedron 69(40), 8583-8591 (2013).
Properties of Sartorypyrone B
| Boiling point: | 582.6±50.0 °C(Predicted) |
| Density | 1.19±0.1 g/cm3(Predicted) |
| storage temp. | Store at -20°C |
| solubility | Soluble in DMSO |
| form | A solid |
Safety information for Sartorypyrone B
Computed Descriptors for Sartorypyrone B
New Products
2-Ethoxyphenol Methyl 2-methoxy-5-sulfamoylbenzoate Ethyl 2-chloro-2-(2-(4-methoxyphenyl)hydrazono)acetate 3,6-Dichloropyridazine 3,6-Dichloro-4-Isopropylpyridazine 2-[(2-Ethoxyphenoxy)methyl]oxirane m-Tolualdehyde p-Anisaldehyde 2-Bromobenzaldehyde 4-Fluorobenzaldehyde 1-Propyl-4-piperidone 3-Amino-3-(3-fluorophenyl)propanoic acid 6-Methyl-2-pyridinemethanol 2-Pyridinecarboxaldehdye tert-Butyl ((1R,2S,5S)-2-amino-5-(dimethylcarbamoyl)cyclohexyl)carbamate 1-Indanone 2-Chloromethyl-6-methyl-pyridine 4-Morpholinoaniline Abiraterone Ethyl Ether 1-nitro-3,5-dimethyl adamantine (NMEM) Vardenafil Bis-sulphonamide(Dimer) 3-(2-aminoethyl) benzene sulfonamide Nabumetone Impurity 5 2,2-dibromo-1-cyclopropyl-2-(2-fluorophenyl)ethan-1-oneYou may like
-
3-(4-Bromo-3-methyl-2-oxo-2,3-dihydro-1h-benzo[d]imidazol-1-yl)piperidine-2,6-dione 2304754-51-4 99%+View Details
2304754-51-4 -
1126-74-5 99%+View Details
1126-74-5 -
2-Fluoro-6-iodobenzoic acid 99%+View Details
111771-08-5 -
120013-39-0 2,3-Dihydro-5,6-dimethoxy-2-(4-piperidinylmethyl)-1H-inden-1-one hydrochloride 99%+View Details
120013-39-0 -
2-pyridineacetonitrile 2739-97-1 99%+View Details
2739-97-1 -
4-FORMYL-N-CBZ-PIPERIDINE 99%+View Details
138163-08-3 -
ethyl 2-oxo-2,3,9,10-tetrahydro-1H-pyrido[3',4':4,5]pyrrolo[1,2,3-de]quinoxaline-8(7H)-carboxylate 313544-31-9 99%+View Details
313544-31-9 -
1-Boc-4-cyanopiperidine 91419-52-2 99%+View Details
91419-52-2
Statement: All products displayed on this website are only used for non medical purposes such as industrial applications or scientific research, and cannot be used for clinical diagnosis or treatment of humans or animals. They are not medicinal or edible.
