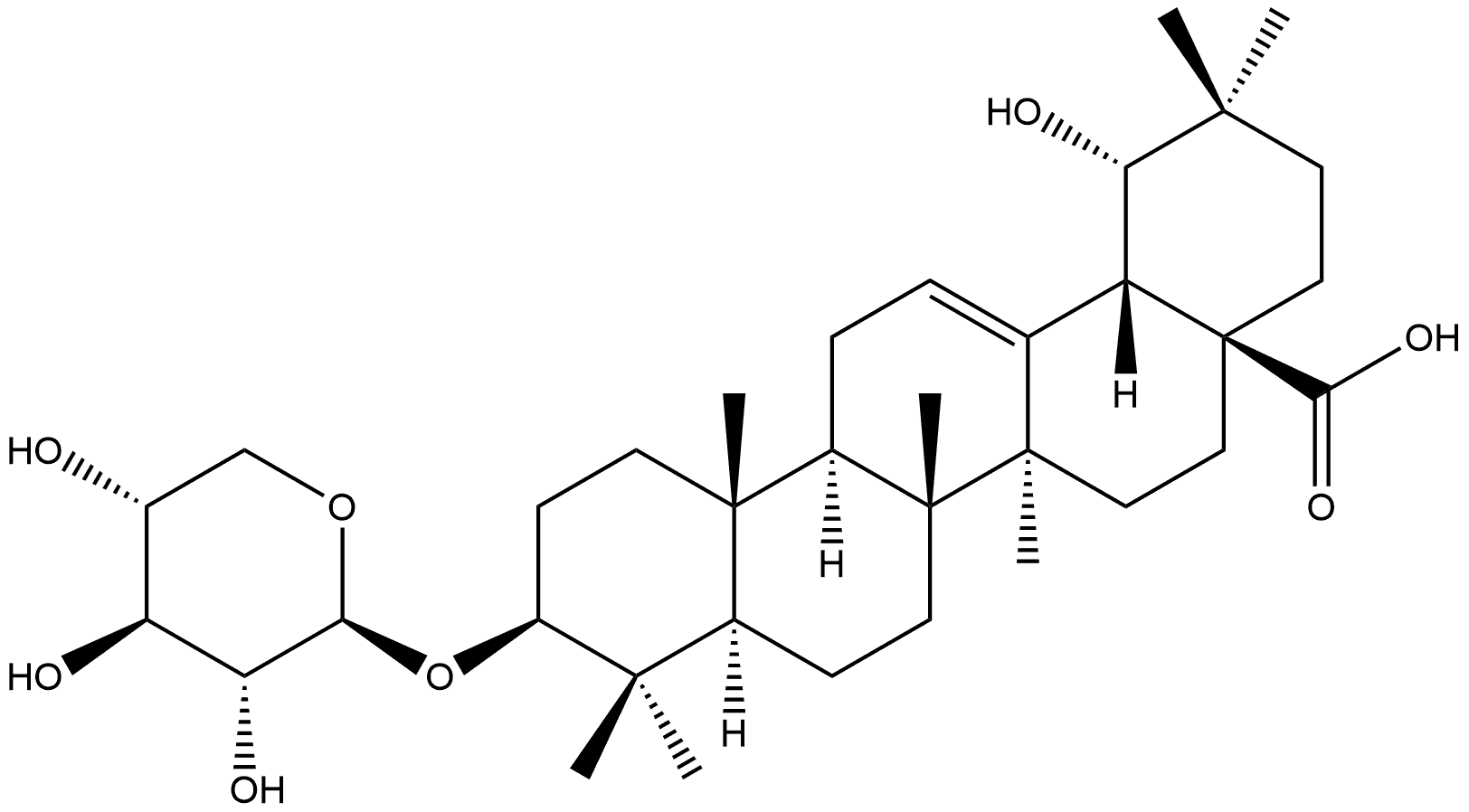
Olean-12-en-28-oic acid, 19-hydroxy-3-(β-D-xylopyranosyloxy)-, (3β,19α)-
- CAS NO.:108529-23-3
- Empirical Formula: C35H56O8
- Molecular Weight: 604.81
- SAFETY DATA SHEET (SDS)
Properties of Olean-12-en-28-oic acid, 19-hydroxy-3-(β-D-xylopyranosyloxy)-, (3β,19α)-
| Boiling point: | 716.2±60.0 °C(Predicted) |
| Density | 1.25±0.1 g/cm3(Predicted) |
| pka | 4.44±0.70(Predicted) |
Safety information for Olean-12-en-28-oic acid, 19-hydroxy-3-(β-D-xylopyranosyloxy)-, (3β,19α)-
Computed Descriptors for Olean-12-en-28-oic acid, 19-hydroxy-3-(β-D-xylopyranosyloxy)-, (3β,19α)-
New Products
Indole Methyl Resin tert-butyl 9-methoxy-3-azaspiro[5.5]undecane-3-carboxylate Boc-His(Boc)-OH 2-CTC Resin 4-Chloro-7-tosy1-7Hpyrrolo[2,3-d]pyrimidine 5,7-Dibromo-1H-indole 2,5-dichloro-N-hydroxy-4,6-dimethylpyridine-3-carboximidamide 2,2-Dimethoxy-7-azaspiro[3.5]nonane hydrochloride 4-chloromethyl-5-methyl-1,3-dioxol-2-one (DMDO-Cl) R-2-BENZYLOXY PROPIONIC ACID 1,1’-CARBONYLDIIMIDAZOLE 1,1’-CARBONYLDI (1,2-4 TRIAZOLE) N-METHYL INDAZOLE-3-CARBOXYLIC ACID 4-((2-hydroxyethyl)thio)benzoic acid 1-(TERT-BUTOXYCARBONYL)-2-PYRROLIDINONE Methyl 6-methylnicotinate 3-Pyridineacrylic acid tert-Butyl carbazate TETRAHYDRO-2H-PYRAN-3-OL 2-((4-morpholinophenylamino) (methylthio) methylene) malononitrile 3-(4-morpholinophenylamino)-5-amino-1H-pyrazole-4-carbonitrile 2,4-dihydroxybenzaldehyde 1,3-Diethyl-1,3-Diphenylurea Methyl 2-methylquinoline-6-carboxylateYou may like
-
Pyridine 99.5% HPLC /UV SpectroscopyView Details
110-86-1 -
Guanine , 99%View Details
73-40-5 -
Piperazine Spot supply, best priceView Details
110-85-0 -
Potassium Hydroxide 90%View Details
1310-58-3 -
Dibutyl PhthalateView Details
84-74-2 -
Imidazole Spot supply, competitive priceView Details
288-32-4 -
Octadecyl 3-(3,5-di-tert-butyl-4-hydroxyphenyl)propionate 98% (GC)View Details
2082-79-3 -
Thiourea 99% ARView Details
62-56-6
Statement: All products displayed on this website are only used for non medical purposes such as industrial applications or scientific research, and cannot be used for clinical diagnosis or treatment of humans or animals. They are not medicinal or edible.
