MS67
- CAS NO.:2407452-77-9
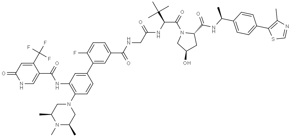
- Empirical Formula: C52H59F4N9O7S
- Molecular Weight: 1030.14
- Update Date: 2026-04-24 14:58:07
What is MS67?
Biological Activity
MS67 is a potent and selective WD40 repeat domain protein 5 (WDR5) degrader with a Kd of 63 nM. MS67 is inactive against other protein methyltransferases, kinases, GPCRs, ion channels, and transporters. MS67 shows potent acticancer effects[1]. MS67 (0.001-1 μM) induces WDR5 degradation at a concentration as low as 1 nM. MS67 induces WDR5 depletion much more effectively in all six mixed lineage leukemia (MLL)-r acute myeloid leukemia (AML) and four pancreatic ductal adenocarcinoma (PDAC) cell lines without a hook effect and in a concentration-dependent manner in PDAC cells[1].MS67 decreases H3K4me2/3 in both MV4;11 and MIA PaCa-2 cells, whereas other examined histone methylation marks such as H3K9me3, H3K27me3, and H3K36me3 are not affected . MS67 is effective in suppressing both WDR5-related gene expression programs and WDR5/MLL-induced H3K4 methylations on chromatin[1].The GI50 values of MS67 in the two most sensitive AML lines, MV4;11 and EOL-1, are 15 nM and 38 nM, respectively. MLL-r acute leukemia cell lines including MV4;11, EOL-1, MOLM13, KOPN8, RS4;11, and THP-1 are sensitive to MS67, whereas leukemia cell lines that did not harbor MLL-r (including K562, HL60, and a murine AML line transformed by Hoxa9 plus Meis1) are insensitive to MS67[1]..MS67 binds to VCB (VHL-Elongin C-Elongin B ternary complex), with a Kd of 140 nM[1]. MS67 (75 mg/kg; i.p.; twice daily; 5 days a week; for 20 days) significantly inhibits tumor growth in vivo and prolongs survival of the treated mice[1].After a single intraperitoneal (i.p.) injection of MS67 at a dose of 75 mg/kg, the Cmax reached at about 4.2 μM, and the concentration of MS67 retained above 0.5 μM over 12 hours[1].
References
[1]. Xufen Yu, et al. A selective WDR5 degrader inhibits acute myeloid leukemia in patient-derived mouse models. Sci Transl Med. 2021 Sep 29;13(613):eabj1578.
Properties of MS67
| Boiling point: | 1134.6±65.0 °C(Predicted) |
| Density | 1.325±0.06 g/cm3(Predicted) |
| storage temp. | Store at -20°C |
| form | Solid |
| pka | 8.27±0.10(Predicted) |
| color | White to off-white |
Safety information for MS67
Computed Descriptors for MS67
New Products
2-Ethoxyphenol Methyl 2-methoxy-5-sulfamoylbenzoate Ethyl 2-chloro-2-(2-(4-methoxyphenyl)hydrazono)acetate 3,6-Dichloropyridazine 3,6-Dichloro-4-Isopropylpyridazine 2-[(2-Ethoxyphenoxy)methyl]oxirane m-Tolualdehyde p-Anisaldehyde 2-Bromobenzaldehyde 4-Fluorobenzaldehyde 1-Propyl-4-piperidone 3-Amino-3-(3-fluorophenyl)propanoic acid 6-Methyl-2-pyridinemethanol 2-Pyridinecarboxaldehdye tert-Butyl ((1R,2S,5S)-2-amino-5-(dimethylcarbamoyl)cyclohexyl)carbamate 1-Indanone 2-Chloromethyl-6-methyl-pyridine 4-Morpholinoaniline Abiraterone Ethyl Ether 1-nitro-3,5-dimethyl adamantine (NMEM) Vardenafil Bis-sulphonamide(Dimer) 3-(2-aminoethyl) benzene sulfonamide Nabumetone Impurity 5 2,2-dibromo-1-cyclopropyl-2-(2-fluorophenyl)ethan-1-oneYou may like
-
3-(4-Bromo-3-methyl-2-oxo-2,3-dihydro-1h-benzo[d]imidazol-1-yl)piperidine-2,6-dione 2304754-51-4 99%+View Details
2304754-51-4 -
1126-74-5 99%+View Details
1126-74-5 -
2-Fluoro-6-iodobenzoic acid 99%+View Details
111771-08-5 -
120013-39-0 2,3-Dihydro-5,6-dimethoxy-2-(4-piperidinylmethyl)-1H-inden-1-one hydrochloride 99%+View Details
120013-39-0 -
2-pyridineacetonitrile 2739-97-1 99%+View Details
2739-97-1 -
4-FORMYL-N-CBZ-PIPERIDINE 99%+View Details
138163-08-3 -
ethyl 2-oxo-2,3,9,10-tetrahydro-1H-pyrido[3',4':4,5]pyrrolo[1,2,3-de]quinoxaline-8(7H)-carboxylate 313544-31-9 99%+View Details
313544-31-9 -
1-Boc-4-cyanopiperidine 91419-52-2 99%+View Details
91419-52-2
