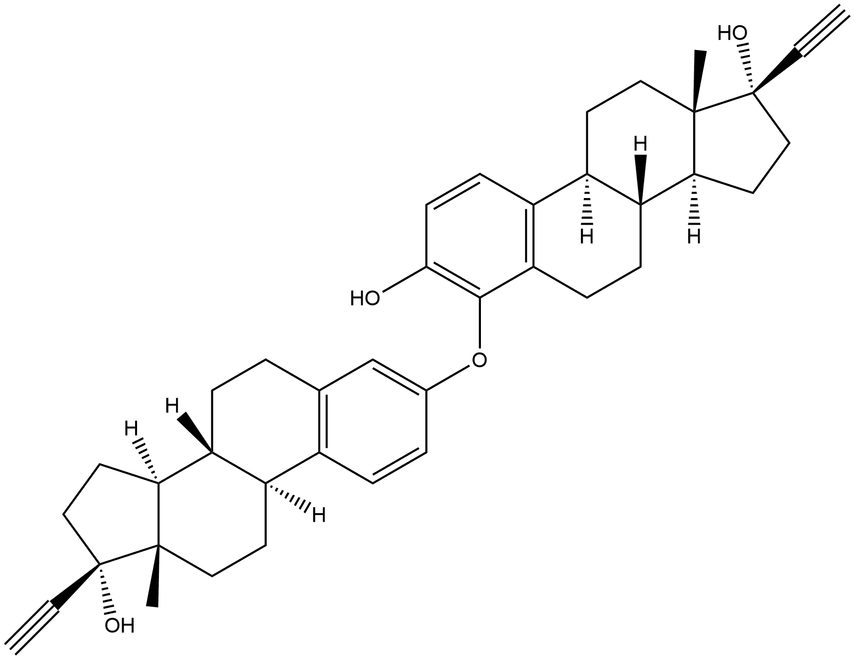
Ethinyl Estradiol Dimer Impurity 1
- CAS NO.:303014-90-6
- Empirical Formula: C40H46O4
- Molecular Weight: 590.79
- Update Date: 2022-12-21 16:56:50
What is Ethinyl Estradiol Dimer Impurity 1?
The Uses of Ethinyl Estradiol Dimer Impurity 1
Ethinyl Estradiol Dimer Impurity 1 is a dimer impurity analog of Ethynyl Estradiol (E685100), which is an oral contraceptive of a synthetic steroid with high oral estrogenic potency, mainly used in estrogen replacement therapy.
Properties of Ethinyl Estradiol Dimer Impurity 1
| Boiling point: | 686.7±55.0 °C(Predicted) |
| Density | 1.28±0.1 g/cm3(Predicted) |
| pka | 9.57±0.60(Predicted) |
Safety information for Ethinyl Estradiol Dimer Impurity 1
Computed Descriptors for Ethinyl Estradiol Dimer Impurity 1
New Products
2-Ethoxyphenol Methyl 2-methoxy-5-sulfamoylbenzoate Ethyl 2-chloro-2-(2-(4-methoxyphenyl)hydrazono)acetate 3,6-Dichloropyridazine 3,6-Dichloro-4-Isopropylpyridazine 2-[(2-Ethoxyphenoxy)methyl]oxirane m-Tolualdehyde p-Anisaldehyde 2-Bromobenzaldehyde 4-Fluorobenzaldehyde 1-Propyl-4-piperidone 3-Amino-3-(3-fluorophenyl)propanoic acid 6-Methyl-2-pyridinemethanol 2-Pyridinecarboxaldehdye tert-Butyl ((1R,2S,5S)-2-amino-5-(dimethylcarbamoyl)cyclohexyl)carbamate 1-Indanone 2-Chloromethyl-6-methyl-pyridine 4-Morpholinoaniline Abiraterone Ethyl Ether 1-nitro-3,5-dimethyl adamantine (NMEM) Vardenafil Bis-sulphonamide(Dimer) 3-(2-aminoethyl) benzene sulfonamide Nabumetone Impurity 5 2,2-dibromo-1-cyclopropyl-2-(2-fluorophenyl)ethan-1-oneRelated products of tetrahydrofuran
You may like
-
3-(4-Bromo-3-methyl-2-oxo-2,3-dihydro-1h-benzo[d]imidazol-1-yl)piperidine-2,6-dione 2304754-51-4 99%+View Details
2304754-51-4 -
1126-74-5 99%+View Details
1126-74-5 -
2-Fluoro-6-iodobenzoic acid 99%+View Details
111771-08-5 -
120013-39-0 2,3-Dihydro-5,6-dimethoxy-2-(4-piperidinylmethyl)-1H-inden-1-one hydrochloride 99%+View Details
120013-39-0 -
2-pyridineacetonitrile 2739-97-1 99%+View Details
2739-97-1 -
4-FORMYL-N-CBZ-PIPERIDINE 99%+View Details
138163-08-3 -
ethyl 2-oxo-2,3,9,10-tetrahydro-1H-pyrido[3',4':4,5]pyrrolo[1,2,3-de]quinoxaline-8(7H)-carboxylate 313544-31-9 99%+View Details
313544-31-9 -
1-Boc-4-cyanopiperidine 91419-52-2 99%+View Details
91419-52-2
Statement: All products displayed on this website are only used for non medical purposes such as industrial applications or scientific research, and cannot be used for clinical diagnosis or treatment of humans or animals. They are not medicinal or edible.
