Diethylenetriaminepenta(methylene-phosphonic acid)
- CAS NO.:15827-60-8
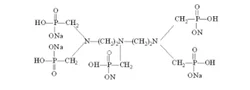
- Empirical Formula: C9H28N3O15P5
- Molecular Weight: 573.2
- MDL number: MFCD00129718
- EINECS: 239-931-4
- SAFETY DATA SHEET (SDS)
- Update Date: 2025-09-25 17:15:13
What is Diethylenetriaminepenta(methylene-phosphonic acid)?
Chemical properties
DTPMP is normally delivered as salts, because the acid form has very limited solubility in water and tends to crystallize in concentrated aqueous solutions. It is a nitrogenous organic polyphosphonic acid. It shows very good inhibition of the precipitation of barium sulfate (BaSO4). At high alkali and high temperature (above 210 °C) environments DTPMPA has better scale and corrosion inhibition effect than other phosphonates.
The Uses of Diethylenetriaminepenta(methylene-phosphonic acid)
The phosphonate Diethylenetriaminepenta(methylenephosphonic acid) is a wastewater pollutant, and a component of phosphorous-containing nanoparticles and materials, such as in the preparation of chitosan nanoparticles for plutonium pulmonary decorporation.
The Uses of Diethylenetriaminepenta(methylene-phosphonic acid)
Diethylenetriaminepentakis(methylphosphonic acid) solution is suitable for use in a study to investigate the dynamics and kinetics of sodium sulfate crystallization in the presence of various organophosphonic acids. It may be employed as ligand for the characterization of Ce3+ complexes by luminescence spectroscopy.
What are the applications of Application
Diethylenetriaminepentakis(methylphosphonic acid) solution is a multidentate complexing agent
Advantages
DETMP is an excellent threshold scale inhibitor for carbonate, sulfate and phosphate scales. It inhibits scale formation at extremely low (ppm) dosage levels, sub-stoichiometric concentrations calculated on hardness of water. It is an organophosphonate which shows excellent sequestration of metal ions at stoichiometric concentrations. These properties make it suitable for use in various applications like Peroxide bleaching, Textile auxiliaries, Industrial and Institutional cleaning, Detergent formulations etc.It has excellent hydrolytic and thermal stability meaning it is stable over wide range of pH values and over higher temperatures, making it suitable for high temperature applications. It is also used as a scale inhibitor in oil and gas applications.
What are the applications of Application
Water treatment formulations
Detergent & personal care product additive
Industrial & institutional cleaners
Oil field additive
Textile as peroxide bleach Stabilizer & leather auxiliary chemicals
Definition
Diethylenetriamine five methene phosphoric acid are a kind of widely used corrosion inhibiting and descaling agents, outward appearance is brown color or red-brown thick liquid, nontoxic, molecular formula is C9H28O15N3P5, relative molecular weight is 573.2, be soluble in acidic solution, can form polynary ring huge legendary turtle compound with metal ion in the aqueous solution, loosely is scattered in water, destroy the calcium salt crystalline growths such as carbonate, sulfate scale, thereby play scale effect, can suppress the generation of carbonate, sulfate scale.
General Description
Diethylenetriaminepentakis(methylphosphonic acid) (DTPMP) is a multidentate chelating agent. Hydrogen peroxide oxidation of DTPMP is reported. DTPMP, a phosphonate, is commonly used as crystallization inhibitors.
Flammability and Explosibility
Not classified
Industrial uses
Under alkaline environment and high temperature, anticorrosion-antiscaling property is good.Diethylenetriamine five methene phosphoric acid are used as the anti-incrustation corrosion inhibitor of recirculated cooling water and feedwater in water treatment, be specially adapted to the anti-incrustation corrosion inhibitor of alkaline recirculated cooling water, and can be used for containing the high oil-field flooding of barium carbonate and the anti-incrustation corrosion inhibitor of water coolant, use separately this product in compound drug, without adding dispersion agent, the dirt deposition amount is still very little; This product also can be used as peroxide stabiliser, for textile printing and dyeing in the dispersion agent, oxygen delignification stablizer, chemical fertilizer of sequestrant, pigment trace element carry agent, concrete additive; In addition, at aspects such as papermaking, plating, metal pickling and makeup; Also can make the stablizer of oxidizing bactericide.
Synthesis
The technical grade diethylenetriamine that total amount is 10% will be accounted for, the novel environment friendly formaldehyde that total amount is 58% that accounts for that content is 40% is sent in chemical reaction kettle, starting stirrer stirs, rotating speed is 20 rev/mins, even blend, send into steam immediately in the reactor interlayer, make slowly to heat up in reactor, control temperature between 50 ℃-55 ℃, add slowly and account for the technical grade phosphorous acid crystal that total amount is 30%, be stirred to the follow-up temperature of continuing rising of whole dissolvings, add slowly and account for the catalyzer composite type metallic oxide that total amount is 2%, after stirring, be warming up between 95 ℃-98 ℃, stirring reaction 1.6-1.8 hour, stop, to the reactor steam supply, being cooled to normal temperature, continue to stir, add the aqueous sodium hydroxide solution that appropriate content is 20%, adjust pH is to stop stirring after between 10-10.5 obtaining finished product, during use, can be using diethylenetriamine five methene phosphoric acid as anti-incrustation corrosion inhibitor or clean-out system use and get final product.
Properties of Diethylenetriaminepenta(methylene-phosphonic acid)
| Boiling point: | 1003.3±75.0 °C(Predicted) |
| Density | 1.35 (50% aq.) |
| vapor pressure | 0Pa at 25℃ |
| storage temp. | Hygroscopic, -20°C Freezer, Under inert atmosphere |
| solubility | Aqueous Base (Sparingly), Water |
| form | Oil |
| pka | 0.59±0.10(Predicted) |
| color | Pale Yellow to Brown |
| Water Solubility | 500g/L at 25℃ |
| BRN | 2068968 |
| CAS DataBase Reference | 15827-60-8(CAS DataBase Reference) |
| EPA Substance Registry System | Phosphonic acid, [[(phosphonomethyl)imino]bis[2,1-ethanediylnitrilobis(methylene)]]tetrakis- (15827-60-8) |
Safety information for Diethylenetriaminepenta(methylene-phosphonic acid)
| Signal word | Danger |
| Pictogram(s) |
![]() Corrosion Corrosives GHS05 ![]() Exclamation Mark Irritant GHS07 |
| GHS Hazard Statements |
H290:Corrosive to Metals H315:Skin corrosion/irritation H318:Serious eye damage/eye irritation H335:Specific target organ toxicity, single exposure;Respiratory tract irritation |
| Precautionary Statement Codes |
P234:Keep only in original container. P261:Avoid breathing dust/fume/gas/mist/vapours/spray. P264:Wash hands thoroughly after handling. P264:Wash skin thouroughly after handling. P280:Wear protective gloves/protective clothing/eye protection/face protection. P302+P352:IF ON SKIN: wash with plenty of soap and water. P305+P351+P338:IF IN EYES: Rinse cautiously with water for several minutes. Remove contact lenses, if present and easy to do. Continuerinsing. |
Computed Descriptors for Diethylenetriaminepenta(methylene-phosphonic acid)
| InChIKey | DUYCTCQXNHFCSJ-UHFFFAOYSA-N |
Diethylenetriaminepenta(methylene-phosphonic acid) manufacturer
Zeel Product
New Products
1-Chloro-4-Methyl-2-Nitrobenzene 4-Bromo-2-chlorobenzonitrile 3-(4-morpholinophenylamino)-5-amino-1H-pyrazole-4-carbonitrile 1,3-Diethyl-1,3-Diphenylurea Methyl 2-methylquinoline-6-carboxylate 2-((4-morpholinophenylamino) (methylthio) methylene) malononitrile Benzethonium Chloride Trenbolone Enanthate Prednisolone acetate Cisplatin Chlorodehydromethyl testosterone Ketoconazole 2,4-Difluoro-5-nitrobenzoicacid Methyl 2-oxo-2,3-dihydrobenzo[d]oxazole-7-carboxylate 3-Hydroxy-4-nitrobromobenzene 4-(2-Aminoethyl)-7-hydroxy-2H-chromoen-2-one 2-Ethyl-1,4-diaminobenzene 2-Ethylhexyl 4-aminobenzoate Fmoc-N-Me-Ala-OH Boc-His-OH Fmoc-N-Me-Ile-OH tert-butyl 9-methoxy-3-azaspiro[5.5]undecane-3-carboxylate Indole Ethyl Resin Indole Methyl ResinRelated products of tetrahydrofuran








You may like
-
15827-60-8 / 67774-91-8 Diethylenetriaminepenta-(methylenephosphonic acid) 98%View Details
15827-60-8 / 67774-91-8 -
15827-60-8 / 67774-91-8 98%View Details
15827-60-8 / 67774-91-8 -
Diethylenetriaminepentakis(methylphosphonic acid) solution 50% in 15% HCl: 35% H2O CAS 15827-60-8View Details
15827-60-8 -
Diethylenetriaminepentakis(methylphosphonic acid) solution CAS 15827-60-8View Details
15827-60-8 -
Diethylenetriaminepenta(Methylene Phosphonic Acid)View Details
15827-60-8 -
Diethylenetriamine pentamethylene phosphonic acidView Details
15827-60-8 -
DTPMPA Diethylenetriamine Penta(methylene Phosphonic Acid)View Details
15827-60-8 -
Diethylene Triamine Penta (Methylene Phosphonic) Acid, Grade Standard: Industrial GradeView Details
15827-60-8


