2,6-Pyridinedimethanol
Synonym(s):2,6-Bis(hydroxymethyl)pyridine
- CAS NO.:1195-59-1
- Empirical Formula: C7H9NO2
- Molecular Weight: 139.15
- MDL number: MFCD00006351
- EINECS: 214-803-0
- SAFETY DATA SHEET (SDS)
- Update Date: 2026-01-13 11:23:11
What is 2,6-Pyridinedimethanol?
Chemical properties
light yellow to beige crystalline powder
The Uses of 2,6-Pyridinedimethanol
2,6-Pyridinedimethanol can be used as a quantum dot solution for photoelectric device and biomedicine and also a ligand to synthesize a variety of metal complexes and catalysts.
Preparation
The preparation of 2,6-Pyridinedimethanol is as follows:2640g of 2,6-dibromomethylpyridine, 3L of 30% aqueous sodium hydroxide solution, and 10L of ethanol were placed in a 20L reaction flask. Turn on the agitation. The reaction solution was heated to reflux and the reaction was kept for 5h. The TLC to intermediate state reaction is complete. The reaction solution is cooled to room temperature, plus into 20L of ice water, stir for 20min. The aqueous phase was extracted twice with 10L of dichloromethane and the organic phases were combined. The organic phase is concentrated under reduced pressure to dry, a solid of 1232g was obtained, the yield was 88.6%, and the liquid phase was 98%.
Synthesis
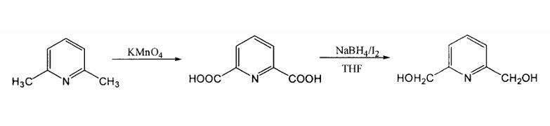
The method preparing 2,6-pyridine dimethanol:
2,6-lutidines mixes with a certain amount of water, controls at a certain temperature, is dividedly in some parts potassium permanganate, control stoichiometric number hour at a certain temperature, being down to room temperature, sucking filtration after reacting completely, acidification of filtrate obtains product 2,6-pyridinedicarboxylic acid, this compound with sodium borohydride/iodine reduction system, post-treated obtains target product 2,6-pyridine dimethanol.
Properties of 2,6-Pyridinedimethanol
| Melting point: | 112-114 °C (lit.) |
| Boiling point: | 185°C 15mm |
| Density | 1.1997 (rough estimate) |
| refractive index | 1.4800 (estimate) |
| Flash point: | 185°C/15mm |
| storage temp. | Inert atmosphere,Room Temperature |
| pka | 13.03±0.10(Predicted) |
| form | Crystalline Powder |
| color | Light yellow to beige |
| Water Solubility | Soluble in water. |
| BRN | 116016 |
| CAS DataBase Reference | 1195-59-1(CAS DataBase Reference) |
| NIST Chemistry Reference | Pyridine, 2,6-dicarbinol(1195-59-1) |
Safety information for 2,6-Pyridinedimethanol
| Signal word | Danger |
| Pictogram(s) |
![]() Corrosion Corrosives GHS05 ![]() Exclamation Mark Irritant GHS07 |
| GHS Hazard Statements |
H315:Skin corrosion/irritation H318:Serious eye damage/eye irritation H335:Specific target organ toxicity, single exposure;Respiratory tract irritation |
| Precautionary Statement Codes |
P261:Avoid breathing dust/fume/gas/mist/vapours/spray. P280:Wear protective gloves/protective clothing/eye protection/face protection. P305+P351+P338:IF IN EYES: Rinse cautiously with water for several minutes. Remove contact lenses, if present and easy to do. Continuerinsing. |
Computed Descriptors for 2,6-Pyridinedimethanol
| InChIKey | WWFMINHWJYHXHF-UHFFFAOYSA-N |
2,6-Pyridinedimethanol manufacturer
New Products
2-(3-Methyl-1,2,4-oxadiazol-5-yl)acetic acid (as potassium salt) 2-fluoro-4-iodoaniline 4-Iodo-3,5-dimethylbenzonitrile Atorvastatin amide impurity/Atorvastatin EP Impurity F(Calcium Salt) Lantanoprost rc B Clidinium Bromide Impurity Noradrenaline EP Impurity D/Noradrenaline Methyl Ether Cetirizine EP Impurity A/Cetirizine CBHP Impurity N-Nitroso hydroxy Cetrizine EP Impurity-A (4-Fluoro-2-methoxy-5-nitro- phenyl)-[4- (1-methyl-1H- indol-3- yl)-pyrimidin-2-yl]- amine 6-bromo-4-fluoro-1-isopropyl-2-methyl-1H-benzo[d]imidazole tert-butyl 4-(6-((7-cyclo pentyl -6-(dimethyl carbamoyl) -7H-pyrrolo [2,3-d]pyrimidin-2-yl) amino)pyridin-3-yl) piperazine-1-carboxylate 2-Fluoro-4-nitrotoluene 1-(2-amino-5-hydroxy phenyl)propan-1-one (3R,4R)-1-benzyl-N,4-dimethylpiperidin-3- amine 3-(Dimethylamino)benzoic acid 2-Amino-5-chloropyridine 4-(Methylamino)-3-nitrobenzoic Acid 5-Chloro-2-Nitroaniline 3,5-dibenzyloxy Acetophenone 2,4-Diamino-6-hydroxypyrimidine 2-Chloro Benzylcyanide 3-chlorobenzyl cyanide 3,4 Diethoxy BenzylcyanideRelated products of tetrahydrofuran








You may like
-
1195-59-1 98%View Details
1195-59-1 -
2,6-PYRIDINE DIMETHANOL 1195-59-1 99%View Details
1195-59-1 -
2,6-Pyridinedimethanol 99%View Details
1195-59-1 -
2,6-Pyridinedimethanol CAS 1195-59-1View Details
1195-59-1 -
2,6-Pyridinedimethanol CAS 1195-59-1View Details
1195-59-1 -
2,6-Pyridinedimethanol, 98% CAS 1195-59-1View Details
1195-59-1 -
2,6-Pyridinedimethanol CAS 1195-59-1View Details
1195-59-1 -
1195-59-1 98%View Details
1195-59-1


