- Price
Supplier Type
- Trader
Supplier Region
- Vadodara(1)
Purity
- technical, ~50% (T)
- 99.8 %
- 50%
Package
- 5mL
- 25mL
- 100mL
- 18%
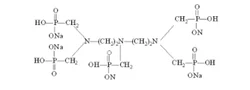
Diethylenetriaminepenta(methylene-phosphonic acid)
- CAS:15827-60-8
- MF:C9H28N3O15P5
- MW:573.2
- EINECS:239-931-4
- Boiling point::
- 1003.3±75.0 °C(Predicted)
- Density :
- 1.35 (50% aq.)
- vapor pressure :
- 0Pa at 25℃
- storage temp. :
- Hygroscopic, -20°C Freezer, Under inert atmosphere
- solubility :
- Aqueous Base (Sparingly), Water
- form :
- Oil
- pka:
- 0.59±0.10(Predicted)
- color :
- Pale Yellow to Brown
- Water Solubility :
- 500g/L at 25℃
- BRN :
- 2068968
- InChIKey:
- DUYCTCQXNHFCSJ-UHFFFAOYSA-N
- Symbol(GHS)


GHS05,GHS07
- Signal word
- Danger
- Hazard statements
- H290-H315-H318-H335
- Precautionary statements
- P234-P261-P264-P280-P302+P352-P305+P351+P338
Diethylenetriaminepenta-(methylenephosphonic acid) 15827-60-8
DTPMPA Diethylenetriamine Penta(methylene Phosphonic Acid) 15827-60-8
Diethylenetriaminepenta-(methylenephosphonic acid) 15827-60-8
Diethylenetriaminepentakis(methylphosphonic acid) solution 15827-60-8
Diethylenetriaminepentakis(methylphosphonic acid) solution 50% in 15% HCl: 35% H2O 15827-60-8





