Tetracaine Base
| Price | Get Latest Price | ||
- Time:0001-01-01
Product Details
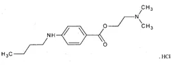
- Product NameTetracaine Base
- CAS No.94-24-6
- EINECS No.202-316-6
- MFC15H24N2O2
- MW264.36
- Appearancepowder to crystalWhite to Almost white
- storage temp. 2-8°C
- Melting point 41.0 to 45.0 °C
- Boiling point 407.59°C (rough estimate)
- density 1.0200 (rough estimate)
- Water Solubility 156mg/L(temperature not stated)
Company Profile Introduction
India
- Address:
INQUIRY
