Stannous Oxalate Tin(II) Oxalate, Grade: Higher, Purity: Pure
| Price | Get Latest Price | ||
- Time:0001-01-01
Product Details
- Product NameStannous Oxalate Tin(II) Oxalate, Grade: Higher, Purity: Pure
- CAS No.814-94-8
- EINECS No.212-414-0
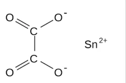
- MFC2O4Sn
- MW206.73
- AppearancePowderwhite
- Melting point 280°C (dec.)
- density 3,56 g/cm3
- Water Solubility Soluble in dilute HCl. Insoluble in water.Soluble in acids. Insoluble in water and acetone.
- storage temp. Inert atmosphere,Room Temperature
- Boiling point 413.5℃[at 101 325 Pa]
Brand: STANNOUS OXALATE
Purity: PURE
Grade: HIGHER
Usage/Application: Stannous Oxalate is a neutral catalyst used to boost up reaction rate & increase the yield of the pr
Packaging Type: 50 KG PACKING
Packaging Size: 50 KG PACKING
Physical Form: White to off White Powder.
Chemical Formula: XXXXXX
CAS Number: XXXXXXXX
Molecular Weight: XXXXXXXX
Company Profile Introduction
Recommended supplier
- Mithila Rasayan Pvt Ltd
- Powdered Stannous Oxalate
- Inquiry
- 2025-09-23
- Maharashtra Organo Metallic Catalysts Pvt. Ltd.
- Stannous Oxalate
- Inquiry
- 2025-09-23
- New Alliance Fine Chem Private Limited
- Powder Stannous Oxalate
- Inquiry
- 2025-09-23
India
- Address:
INQUIRY
