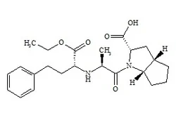
Ramipril EP Impurity H
| Price | Get Latest Price | ||
- Time:0001-01-01
Product Details
- Product NameRamipril EP Impurity H
- MFC23H32N2O5
- MW416.51058
Company Profile Introduction
Supplier other products
Recommended supplier
-
VIP3年
- GLP Pharma Standards
- Ramipril EP Impurity C/Ramipril USP Related Compound C / hexahydroramipril 99742-35-5 NLT 95%
- Inquiry
- 2026-02-03
-
VIP0年
- GLP Pharma Standards
- Ramipril EP Impurity C/Ramipril USP Related Compound C / hexahydroramipril 99742-35-5 NLT 95%
- Inquiry
- 2026-02-03
- GLP Pharma Standards
- >92% Ramipril EP Impurity C, 100mg, Industrial Grade
- Inquiry
- 2025-09-23
- Address:
INQUIRY
