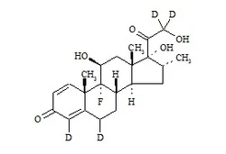
Dexamethasone-D4
| Price | Get Latest Price | ||
- Time:0001-01-01
Product Details
- Product NameDexamethasone-D4
- CAS No.50-02-2
- EINECS No.200-003-9
- MFC22H29FO5
- MW392.47
- InChIKeyUREBDLICKHMUKA-WOZIDBKKNA-N
- Appearancepowderoff-white
- storage temp. 2-8°C
- Water Solubility 10 mg/100 mL (25 ºC)
- Melting point 262-264 °C (lit.)
- density 1.1283 (estimate)
- Boiling point 568.2±50.0 °C(Predicted)
Company Profile Introduction
Supplier other products
Recommended supplier
-
VIP2年
- CEFA CILINAS BIOTICS PVT LTD
- 50-02-2 >98%
- Inquiry
- 2026-04-16
-
VIP0年
- CEFA CILINAS BIOTICS PVT LTD
- 50-02-2 >98%
- Inquiry
- 2026-04-16
-
VIP1年
- Aquigen Bio science Pvt Ltd
- Cabozantinib D4 (Cyclopropane-ring-D4) 98%
- Inquiry
- 2025-07-07
-
VIP1年
- Aquigen Bio science Pvt Ltd
- cis-Atovaquone-d4 (Atovaquone EP Impurity B-d4) 99%
- Inquiry
- 2025-07-07
- Address:
INQUIRY
