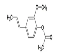
Acetyl Iso Eugenol (CAS NO 93-29-8)
| Price | Get Latest Price | ||
- Time:0001-01-01
Product Details
- Product NameAcetyl Iso Eugenol (CAS NO 93-29-8)
- CAS No.93-29-8
- EINECS No.202-236-1
- MFC12H14O3
- MW206.24
- InChIKeyIUSBVFZKQJGVEP-UHFFFAOYSA-N
- AppearanceSolidWhite crystals
- Boiling point 283 °C
- Melting point 79-81 °C (lit.)
- density 1.1492 (rough estimate)
- storage temp. -20°C
Company Profile Introduction
Recommended supplier
- Yash Enterprises
- 6 Way HENSEL Cable junction boxe (93 x 93 x 62mm)
- Inquiry
- 2025-09-23
- BTC Pharmaceuticals Technology India
- 2-Aminoacetophenone, CAS NO:551-93-9
- Inquiry
- 2025-09-23
India
- Address:
INQUIRY
