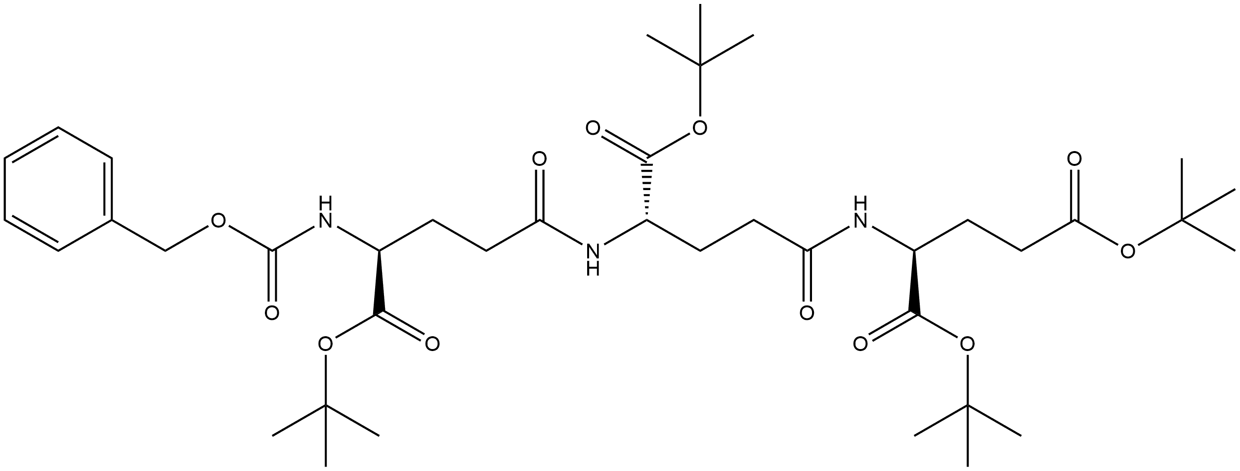
Z-Glu3-OtBu4
- CAS NO.:32719-57-6
- Empirical Formula: C39H61N3O12
- Molecular Weight: 763.91
Properties of Z-Glu3-OtBu4
| Melting point: | 76-78 °C |
| Boiling point: | 844.9±65.0 °C(Predicted) |
| Density | 1.134±0.06 g/cm3(Predicted) |
| pka | 10.78±0.46(Predicted) |
Safety information for Z-Glu3-OtBu4
Computed Descriptors for Z-Glu3-OtBu4
New Products
2-Ethoxyphenol Methyl 2-methoxy-5-sulfamoylbenzoate 3,6-Dichloropyridazine Ethyl 2-chloro-2-(2-(4-methoxyphenyl)hydrazono)acetate 3,6-Dichloro-4-Isopropylpyridazine 2-[(2-Ethoxyphenoxy)methyl]oxirane 4-Morpholinoaniline 2-Chloromethyl-6-methyl-pyridine 1-Indanone tert-Butyl ((1R,2S,5S)-2-amino-5-(dimethylcarbamoyl)cyclohexyl)carbamate 2-Pyridinecarboxaldehdye 6-Methyl-2-pyridinemethanol 4-Bromo-2-fluoro-N-methylbenzamide 3-Azetidinecarboxylic acid N-(2-(4-((4-Fluorobenzyl)carbamoyl)-5-hydroxy-6-methoxypyrimidin-2-yl)propan-2-yl)-5-methyl-1,3,4-oxadiazole-2-carboxamide (R)-4-Boc-morpholine-3-carboxylic acid (Required high chiral purity NLT:99.5%) Tetrahydro-3-(2-methyl-2- nitropropyl)-2H-pyran-2-one 3-Bromo-2-fluorobenzonitrile Desoximetasone Boron Triiodide Nicotinic acid RAPAMYCIN Pentachlorobenzonitrile BudesonideYou may like
-
1589503?95?6 2-((2,6-Difluorobenzyl)(ethoxycarbonyl)amino)-4-((dimethylamino)methyl)-5-(4-nitrophenyl)thiophene-3-carboxylic acid 99%View Details
1589503?95?6 -
2-Chlorophenyl diphenyl chloromethane 99%View Details
42074-68-0 -
6-(chloromethyl)pteridine-2,4-diamine monohydrochloride 82778?08?3 99%View Details
82778?08?3 -
Ethyl (Z)-3-(tetrahydro-2H-pyran-4-yl)acrylate 1373168-67-2 99%View Details
1373168-67-2 -
1,3-Dibromo-5-fluorobenzene 99%View Details
1435-51-2 -
729559-09-5 [N(E)]-N-Ethylidene-2-methyl-2-propanesulfinamide 99%View Details
729559-09-5 -
4-Isopropyl Thiophenol 4946-14-9 99%View Details
4946-14-9 -
2709271-25-8 99%View Details
2709271-25-8
Statement: All products displayed on this website are only used for non medical purposes such as industrial applications or scientific research, and cannot be used for clinical diagnosis or treatment of humans or animals. They are not medicinal or edible.
