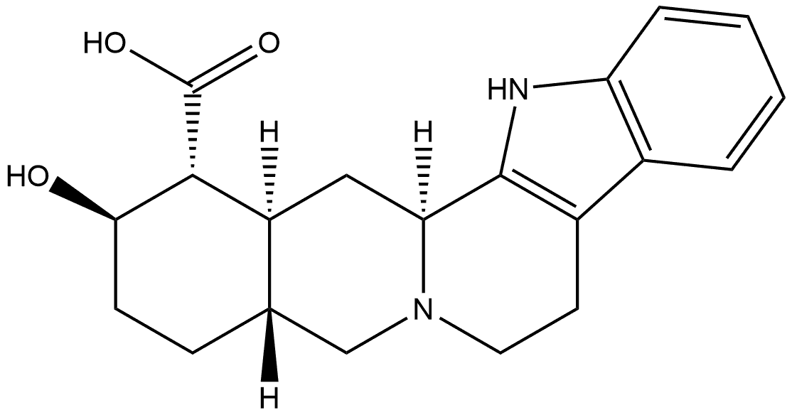
Yohimban-16-carboxylic acid, 17-hydroxy-, (16α,17β)- (9CI)
- CAS NO.:522-86-1
- Empirical Formula: C20H24N2O3
- Molecular Weight: 340.42
Properties of Yohimban-16-carboxylic acid, 17-hydroxy-, (16α,17β)- (9CI)
| Boiling point: | 600.0±50.0 °C(Predicted) |
| Density | 1.39±0.1 g/cm3(Predicted) |
| Melting point: | 259-265 °C (decomp)(Solv: ethanol (64-17-5)) |
| pka | 4.19±0.40(Predicted) |
Safety information for Yohimban-16-carboxylic acid, 17-hydroxy-, (16α,17β)- (9CI)
Computed Descriptors for Yohimban-16-carboxylic acid, 17-hydroxy-, (16α,17β)- (9CI)
New Products
Paroxetine Impurity G/Paroxetine Related Compound E 1-Aminocyclopentane carbonitrile (RS)-beta-Amino-beta-(4-bromophenyl)propionic acid N,N CARBONYL DIIMIDAZOLE 2-Amino-5-bromo-4-(trifluoromethyl)pyridine(RM for Indian lab) Benzyl (3R,4S)-3-(2-bromoacetyl)-4-ethylpyrrolidine-1-carboxylate (R)-1-Benzyl-3-pyrrolidinecarbonitrile Betahistine EP Impurity C Cyclobenzaprine N-oxide/Citalopram Related Compound E Chlorthalidone Impurity I Carbamazepine EP Impurity G Sumatriptan Succinate USP Related Compound C 2,2'-(5-methyl-1,3-phenylene)-di(2-Methylpropionitrile) 4-Fluorothiophenol 1-methyl amino-2,4-dinitro benzene 5-Methyl-1,3-benzenediacetonitrile (R)-BoroLeu-(+)-Pinanediol-CF3COOH 4-(5-amino-1-methyl-1h-benzoimidazol-2-yl)-butyric acid isopropyl ester. 4-Bromo Benzylcyanide 3-Hydroxypropionitrile valeronitrile 3,4 Dimethoxy Benzylcyanide 3-chlorobenzyl cyanide 2-Chloro BenzylcyanideYou may like
-
2847776-12-7 Sumatriptan Succinate USP Related Compound C NLT 95%View Details
2847776-12-7 -
1012886-75-7(HCl Salt)/69675-10-1(Freebase) Paroxetine Impurity G/Paroxetine Related Compound E NLT 95%View Details
1012886-75-7(HCl Salt)/69675-10-1(Freebase) -
1529-41-5 3-chlorobenzyl cyanide 99%View Details
1529-41-5 -
2856-63-5 99%View Details
2856-63-5 -
3,4 Diethoxy Benzylcyanide 99%View Details
27472-21-5 -
Bromoacetaldehyde Dimethyl Acetal (stabilized with K2CO3)View Details
7252-83-7 -
157528-56-8 (R)-1-Benzyl-3-pyrrolidinecarbonitrile 98+View Details
157528-56-8 -
157528-56-8 (R)-1-Benzyl-3-pyrrolidinecarbonitrile 98+View Details
157528-56-8
Statement: All products displayed on this website are only used for non medical purposes such as industrial applications or scientific research, and cannot be used for clinical diagnosis or treatment of humans or animals. They are not medicinal or edible.
