Sodium alginate
Synonym(s):Algin;Alginic acid sodium salt;Alginic acid sodium salt from brown algae;Sodium alginate
- CAS NO.:9005-38-3
- Empirical Formula: C5H7O4COONa
- Molecular Weight: 0
- MDL number: MFCD00081310
- EINECS: 618-415-6
- SAFETY DATA SHEET (SDS)
- Update Date: 2026-01-15 13:03:24
What is Sodium alginate?
Description
Sodium alginate is the sodium form of alginate. Alginate is a linear, anionic polysaccharide consisting of two form of 1, 4-linked hexuronic acid residues, β-d-mannuronopyranosyl (M) and α-l- guluronopyranosyl (G) residues. It can be arranged in the form of blocks of repeating M residues (MM blocks), blocks of repeating G residues (GG blocks), and blocks of mixed M and G residues (MG blocks). Commercially available alginate currently originates from algae. Alginate has wide applications. For example, one of its most important role is being used as wound dressing materials for the treatment of acute or chronic wounds. The use of alginate crosslinking to make hydrogels for cell encapsulation is also quite valuable. The emergence of various kinds of its derivatives recently has further extended its application.
Chemical properties
Colorless or slightly yellow solid occurring in filamentous, granular, and powdered forms. Forms a viscous colloidal solution with water; insoluble in alcohol, ether, and chloroform. Combustible. Sodium alginate is mixed with a solution or suspension of the biocatalysts and then dropped into a calcium chloride solution to form water-insoluble calcium alginate gels that immobilize enzymes, cellular organelles, or microbial cells.
Physical properties
Sodium alginate occurs as an odorless and tasteless, white to pale yellowish-brown colored powder. insoluble in alcohol, ether or chloroform, etc. The aqueous solution of sodium alginate is stable at pH 4 to 10, and precipitates when pH < 3; hydrolysis occurs when pH > 10, and viscosity is lost at the same time.
History
Sodium alginate is a natural polysaccharide product that was first described in a patent application by the British chemist Edward C C Stanford in 1881. To this day brown algae are still the main source used to extract sodium alginate from. This group includes many of the seaweeds, like kelps, found in chilly northern seas. In addition to the food industry, the gelling properties of sodium alginate have been used in medical, dental and cosmetic applications for years.
Characteristics
Sodium alginate [9005-38-3] is extracted from seaweed and is a linear copolymer of β-dmannuronic acid and α-l-guluronic acid linked by 1,4-glycosidic bonds. It forms a gel in the presence of multivalent ions, usually calcium or aluminum. The controlled entrapment of cells is simple and generally nontoxic. Various cell types can be immobilized with negligible loss of viability. However, the matrix can be solubilized in the presence of Ca2+-chelating agents such as phosphate, citrate, or ethylenediaminetetraacetic acid. The alginate matrix is mechanically weak so that the growing cells (especially plant cells) can be released from, or even disintegrate, the beads. Another drawback of the alginate method for viable animal cells is the difficulty of producing sufficiently small beads to overcome oxygen limitation in their interior.
The Uses of Sodium alginate
- Sodium alginate can be used as a flavorless gum. It is used by the foods industry to increase viscosity and as an emulsifier. It is also used in indigestion tablets and the preparation of dental impressions.
- Sodium alginate (NaAlg) and its modified forms have been widely used as membranes in pervaporation (PV) separation of aqueous‐organic solutions because of the hydrophilic nature and versatility to modify/tune their structures to achieve the desired separation.
- Sodium alginate is a polymer which can be extracted from brown seaweed and kelps. It is one of the structural polymers that help to build the cell walls of these plants. It has some unusual properties and a wide variety of uses.
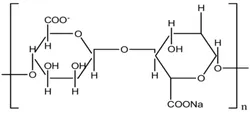
The polymer can be represented like this:

When sodium alginate is put into a solution of calcium ions, the calcium ions replace the sodium ions in the polymer. Each calcium ion can attach to two of the polymer strands. This is called cross-linking and can be represented like this:

What are the applications of Application
Alginic acid sodium salt, very low viscosity is a polyuronic acid composed of primarily anhydro-β-D-mannuronic acid residues. ≤ 5000 (cfu/g)
Production Methods
Alginic acid is extracted from brown seaweed and is neutralized with sodium bicarbonate to form sodium alginate.
What are the applications of Application
Sodium Alginate is a gum obtained as a sodium salt of alginic acid, which is obtained from seaweed. it is coldand hot-water soluble, producing a range of viscosities. it forms irreversible gels with cal- cium salts or acids. it functions as a thickener, binder, and gelling agent in dessert gels, puddings, sauces, toppings, and edible films. In the manufacture of ice cream where it serves as a stabilizing colloid, insuring creamy texture and preventing the growth of ice crystals. In drilling muds; in coatings; in the flocculation of solids in water treatment; as sizing agent; thickener; emulsion stabilizer; suspending agent in soft drinks; in dental impression preparations. Pharmaceutic aid (suspending agent).
General Description
Alginic acid sodium is a gelling and nontoxic anionic polysaccharide. The carboxylic acid groups on the alginic acid chain, renders it insoluble in water.However, converting alginic acid to its sodium form, enables it to solubilize in water easily.
Pharmaceutical Applications
Sodium alginate is used in a variety of oral and topical
pharmaceutical formulations. In tablet formulations, sodium
alginate may be used as both a binder and disintegrant; it has been
used as a diluent in capsule formulations. Sodium alginate has
also been used in the preparation of sustained-release oral
formulations since it can delay the dissolution of a drug from
tablets, capsules, and aqueous suspensions. The effects of
particle size, viscosity and chemical composition of sodium alginate
on drug release from matrix tablets have been described.
In topical formulations, sodium alginate is widely used as a
thickening and suspending agent in a variety of pastes, creams, and
gels, and as a stabilizing agent for oil-in-water emulsions.
Recently, sodium alginate has been used for the aqueous
microencapsulation of drugs, in contrast with the more
conventional microencapsulation techniques which use organicsolvent
systems. It has also been used in the formation of
nanoparticles.
The adhesiveness of hydrogels prepared from sodium alginate
has been investigated, and drug release from oral mucosal
adhesive tablets, buccal gels, and vaginal tablets
based on sodium alginate have been reported. The esophageal
bioadhesion of sodium alginate suspensions may provide a barrier
against gastric reflux or site-specific delivery of therapeutic
agents. Other novel delivery systems containing sodium
alginate include ophthalmic solutions that form a gel in situ when
administered to the eye; an in situ forming gel containing
paracetamol for oral administration; nasal delivery systems
based on mucoadhesive microspheres; and a freeze-dried device
intended for the delivery of bone-growth factors.
Hydrogel systems containing alginates have also been investigated
for delivery of proteins and peptides. In addition, sodium
alginate microspheres have been used in the preparation of a footmouth
disease DNA vaccine, and in an oral vaccine for
Helicobacter pylori; chitosan nanoparticles coated with sodium
alginate may have applications in mucosal vaccine delivery
systems.
Therapeutically, sodium alginate has been used in combination
with an H2-receptor antagonist in the management of gastroesophageal
reflux, and as a hemostatic agent in surgical dressings. Alginate dressings, used to treat exuding wounds, often
contain significant amounts of sodium alginate as this improves the
gelling properties. Sponges composed of sodium alginate and
chitosan produce a sustained drug release and may be useful as
wound dressings or as tissue engineering matrices. Lyophilized
wound healing wafers composed of sodium alginate have been
found to exhibit large reductions in viscosity following gamma
irradiation.
Sodium alginate is also used in cosmetics and food products.
Safety Profile
Poison by intravenous and intraperitoneal routes. When heated to decomposition it emits toxic fumes of Na2O
Safety
Sodium alginate is widely used in cosmetics, food products, and
pharmaceutical formulations, such as tablets and topical products,
including wound dressings. It is generally regarded as a nontoxic
and nonirritant material, although excessive oral consumption may
be harmful. A study in five healthy male volunteers fed a daily
intake of 175 mg/kg body-weight of sodium alginate for 7 days,
followed by a daily intake of 200 mg/kg body-weight of sodium
alginate for a further 16 days, showed no significant adverse
effects.
TheWHOhas not specified an acceptable daily intake for alginic
acid and alginate salts as the levels used in food do not represent a
hazard to health.
Inhalation of alginate dust may be irritant and has been
associated with industrial-related asthma in workers involved in
alginate production. However, it appears that the cases of asthma
were linked to exposure to seaweed dust rather than pure alginate
dust.
LD50 (cat, IP): 0.25 g/kg
LD50 (mouse, IV): 0.2 g/kg
LD50 (rabbit, IV): 0.1 g/kg
LD50 (rat, IV): 1 g/kg
LD50 (rat, oral): >5 g/kg
Storage
Sodium alginate is a hygroscopic material, although it is stable if
stored at low relative humidities and a cool temperature.
Aqueous solutions of sodium alginate are most stable at pH
4–10. Below pH 3, alginic acid is precipitated. A 1% w/v aqueous
solution of sodium alginate exposed to differing temperatures had a
viscosity 60–80% of its original value after storage for 2 years.)
Solutions should not be stored in metal containers.
Sodium alginate solutions are susceptible on storage to microbial
spoilage, which may affect solution viscosity. Solutions are ideally sterilized using ethylene oxide, although filtration using a 0.45 mm
filter also has only a slight adverse effect on solution viscosity.
Heating sodium alginate solutions to temperatures above 70°C
causes depolymerization with a subsequent loss of viscosity.
Autoclaving of solutions can cause a decrease in viscosity, which
may vary depending upon the nature of any other substances
present. Gamma irradiation should not be used to sterilize
sodium alginate solutions since this process severely reduces
solution viscosity.
Preparations for external use may be preserved by the addition
of 0.1% chlorocresol, 0.1% chloroxylenol, or parabens. If the
medium is acidic, benzoic acid may also be used.
The bulk material should be stored in an airtight container in a
cool, dry place.
Purification Methods
Free it from heavy metal impurities by treatment with ion-exchange resins (Na+-form), or with a dilute solution of the sodium salt of EDTA. Alternatively dissolve it in 0.1M NaCl, centrifuge and fractionally precipitate it by gradual addition of EtOH or 4M NaCl. The resulting gels are centrifuged off, washed with aqueous EtOH or acetone, and dried under vacuum. [Büchner et al. J Chem Soc 3974 1961.] Sodium n-alkylsulfates. Recrystallise these salts from EtOH/Me2CO [Hashimoto & Thomas J Am Chem Soc 107 4655 1985].
Incompatibilities
Sodium alginate is incompatible with acridine derivatives, crystal violet, phenylmercuric acetate and nitrate, calcium salts, heavy metals, and ethanol in concentrations greater than 5%. Low concentrations of electrolytes cause an increase in viscosity but high electrolyte concentrations cause salting-out of sodium alginate; salting-out occurs if more than 4% of sodium chloride is present.
Regulatory Status
GRAS listed. Accepted in Europe for use as a food additive. Included in the FDA Inactive Ingredients Database (oral suspensions and tablets). Included as an excipient in nonparenteral medicines (oral capsules, modified release tablets, enteric-coated tablets and lozenges) licensed in the UK. Included in the Canadian List of Acceptable Non-medicinal Ingredients.
References
Pawar, Siddhesh N., and Kevin J. Edgar. Biomaterials 33.11 (2012): 3279-3305. Yang, Ji-Sheng, Ying-Jian Xie, and Wen He. Carbohydrate polymers 84.1 (2011): 33-39.
Properties of Sodium alginate
| Melting point: | 99 °C |
| Density | 1.0 g/cm3(Temp: 25 °C) |
| FEMA | 2014 | ALGIN (LAMINARIA SPP. AND OTHER KELPS) |
| storage temp. | 2-8°C |
| solubility | Slowly soluble in water forming a viscous, colloidal solution, practically insoluble in ethanol (96 per cent). |
| form | powder |
| color | White to Off-white |
| Odor | odorless |
| PH | 6.0-8.0 (10mg/mL in H2O) |
| Water Solubility | Soluble in water. Insoluble in alcohol, chloroform and ether. |
| Sensitive | Hygroscopic |
| Merck | 14,241 |
| Stability: | Stable. Incompatible with strong acids, strong bases, strong oxidizing agents. |
| CAS DataBase Reference | 9005-38-3(CAS DataBase Reference) |
| EPA Substance Registry System | Sodium alginate (9005-38-3) |
Safety information for Sodium alginate
Computed Descriptors for Sodium alginate
Sodium alginate manufacturer
New Products
Cyclopentane-1,2-dione 8-hydroxy-7-methoxy-2,6-dimethylisoquinolinium iodide Isopropyl amine Hydrochloride 2-Bromo-5-iodopyridine 3-Aminophenylacetic acid 4-isothiocyanato-2-(trifluoroMethyl)benzonitrile Amino-4-methoxyben-zeneacetic acid 1-AMino-cyclobutaneMethanol HCl (RS)-beta-Amino-beta-(4-bromophenyl)propionic acid Rifaximin EP Impurity-G N-Nitroso hydroxy Cetrizine EP Impurity-A Noradrenaline EP Impurity D/Noradrenaline Methyl Ether Cetirizine EP Impurity A/Cetirizine CBHP Impurity Lantanoprost rc B Clidinium Bromide Impurity 4-(5-amino-1-methyl-1h-benzoimidazol-2-yl)-butyric acid isopropyl ester. 2-(3-amino propyl amino) ethyl bromide tri sodium thio phosphate 2,2'-(5-methyl-1,3-phenylene)-di(2-Methylpropionitrile) 2,2'-(5-Bromomethyl-1,3-phenylene)-di(2-Methylpropionitrile) L-phenylalanine, N-(pyrazinyl carbonyl) methyl ester 3,4 Diethoxy Benzylcyanide 3,4 Dimethoxy Benzylcyanide valeronitrileRelated products of tetrahydrofuran




You may like
-
Sodium alginate Stabilizer and Coagulator agentView Details
9005-38-3 -
Sodium alginate 99%View Details -
Sodium Alginate LV extrapure CAS 9005-38-3View Details
9005-38-3 -
Sodium alginate CAS 9005-38-3View Details
9005-38-3 -
Sodium Alginate HV extrapure CAS 9005-38-3View Details
9005-38-3 -
Sodium AlginateView Details
9005-38-3 -
Alginate Food ChemicalView Details
9005-32-7 -
Sodium Alginate, Grade Standard: USPView Details
9005-38-3
