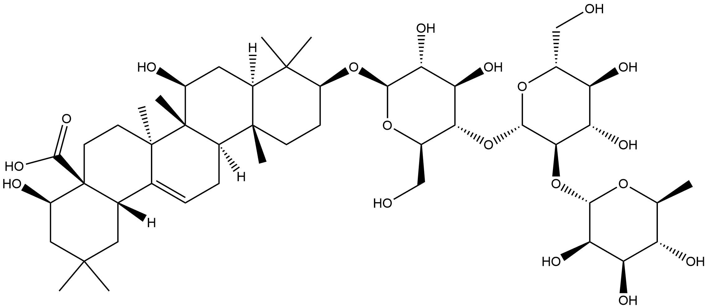
Olean-12-en-28-oic acid, 3-[(O-6-deoxy-α-L-mannopyranosyl-(1→2)-O-β-D-glucopyranosyl-(1→4)-β-D-glucopyranosyl)oxy]-7,22-dihydroxy-, (3β,7β,22β)-
- CAS NO.:1309356-44-2
- Empirical Formula: C48H78O19
- Molecular Weight: 959.12
Properties of Olean-12-en-28-oic acid, 3-[(O-6-deoxy-α-L-mannopyranosyl-(1→2)-O-β-D-glucopyranosyl-(1→4)-β-D-glucopyranosyl)oxy]-7,22-dihydroxy-, (3β,7β,22β)-
| Boiling point: | 1051.4±65.0 °C(Predicted) |
| Density | 1.44±0.1 g/cm3(Predicted) |
| pka | 4.38±0.70(Predicted) |
Safety information for Olean-12-en-28-oic acid, 3-[(O-6-deoxy-α-L-mannopyranosyl-(1→2)-O-β-D-glucopyranosyl-(1→4)-β-D-glucopyranosyl)oxy]-7,22-dihydroxy-, (3β,7β,22β)-
Computed Descriptors for Olean-12-en-28-oic acid, 3-[(O-6-deoxy-α-L-mannopyranosyl-(1→2)-O-β-D-glucopyranosyl-(1→4)-β-D-glucopyranosyl)oxy]-7,22-dihydroxy-, (3β,7β,22β)-
New Products
4,4-Difluoropiperidine hydrochloride tert-butyl 9-methoxy-3-azaspiro[5.5]undecane-3-carboxylate Indole Methyl Resin N-Isopropylurea N,N-Dicyclohexylcarbodiimide(DCC) MELDRUMS ACID 5-METHYLISOXAZOLE-4-CARBOXYLIC ACID Magnessium Bis glycinate Zinc ascorbate 1-bromo-2-butyne 2-acetamidophenol 9(10H)-anthracenone Erythrosin B, 4-Piperidinopiperidine 2-((4-morpholinophenylamino) (methylthio) methylene) malononitrile 2,4-dihydroxybenzaldehyde 3-(4-morpholinophenylamino)-5-amino-1H-pyrazole-4-carbonitrile Methyl 2-methylquinoline-6-carboxylate 2,6-dichloro-4-nitropyridine 4-Bromo-2-chlorobenzonitrile 2-(benzylamino)acetic acid hydrochloride 4-(tert-Butoxycarbonylamino)but- 2-ynoic acid 3,4-dihydro-2H-benzo[b][1,4]dioxepine 1-Phenyl-1-cycloprppanecarboxylicacidYou may like
-
3-(4-amino-1-oxoisoindolin-2-yl)-1-methylpiperidine-2,6-dione 98%View Details -
1-methylindoline-2,3-dione 98%View Details
2058-74-4 -
614-19-7 98%View Details
614-19-7 -
3112-85-4 Methyl phenyl sulfone 98%View Details
3112-85-4 -
20677-73-0 (2,2-diethoxyethyl)methylamine 98%View Details
20677-73-0 -
3-(4-(hydroxyamino)-1-oxoisoindolin-2-yl)piperidine-2,6-dione 98%View Details -
57381-49-4 2-bromo-4-chlorobenzonitrile 98%View Details
57381-49-4 -
4,6-dichloropyrimidine-5-carbaldehyde 98%View Details
5305-40-8
Statement: All products displayed on this website are only used for non medical purposes such as industrial applications or scientific research, and cannot be used for clinical diagnosis or treatment of humans or animals. They are not medicinal or edible.
