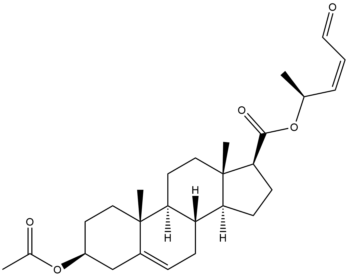
Androst-5-ene-17-carboxylic acid, 3-(acetyloxy)-, 1-methyl-4-oxo-2-butenyl ester, [3β,17β(1S,2Z)]- (9CI)
- CAS NO.:141191-95-9
- Empirical Formula: C27H38O5
- Molecular Weight: 442.59
- SAFETY DATA SHEET (SDS)
Properties of Androst-5-ene-17-carboxylic acid, 3-(acetyloxy)-, 1-methyl-4-oxo-2-butenyl ester, [3β,17β(1S,2Z)]- (9CI)
| Boiling point: | 549.9±50.0 °C(Predicted) |
| Density | 1.13±0.1 g/cm3(Predicted) |
Safety information for Androst-5-ene-17-carboxylic acid, 3-(acetyloxy)-, 1-methyl-4-oxo-2-butenyl ester, [3β,17β(1S,2Z)]- (9CI)
Computed Descriptors for Androst-5-ene-17-carboxylic acid, 3-(acetyloxy)-, 1-methyl-4-oxo-2-butenyl ester, [3β,17β(1S,2Z)]- (9CI)
New Products
Methyl 2-hydroxy-3-nitrobenzoate 1,3-Diethyl-1,3-Diphenylurea 2,4-dihydroxybenzaldehyde 3-(4-morpholinophenylamino)-5-amino-1H-pyrazole-4-carbonitrile Methyl 2-methylquinoline-6-carboxylate 2-((4-morpholinophenylamino) (methylthio) methylene) malononitrile 1,3-Di Iodo Benzene Methyl 2-oxo-2,3-dihydrobenzo[d]oxazole-7-carboxylate 4-(2-Aminoethyl)-7-hydroxy-2H-chromoen-2-one 3-Hydroxy-4-nitrobromobenzene 2-Ethyl-1,4-diaminobenzene 2-Ethylhexyl 4-aminobenzoate Thio AcetamideYou may like
-
MFCD22560726 98%View Details
MFCD22560726 -
3-Hydroxy-4-nitrobromobenzene 98%View Details
2768-84-0 -
4-(2-Aminoethyl)-7-hydroxy-2H-chromoen-2-one 98%View Details
1234064-08-4. -
2-Ethyl-1,4-diaminobenzene 98%View Details
MFCD19203885 -
85-81-4 6-Methoxy-8-nitroquinoline 98%View Details
85-81-4 -
2-((4-morpholinophenylamino) (methylthio) methylene) malononitrile 98%View Details -
Hot Sales:Thio AcetamideView Details
62-55-5 -
CosmoticsView Details
26218-04-2
Statement: All products displayed on this website are only used for non medical purposes such as industrial applications or scientific research, and cannot be used for clinical diagnosis or treatment of humans or animals. They are not medicinal or edible.
