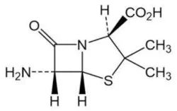
6-Aminopenicillanic acid
Synonym(s):(+)-6-Aminopenicillanic acid;(2S,5R,6R)-6-Amino-3,3-dimethyl-7-oxo-4-thia-1-azabicyclo[3.2.0]heptane-2-carboxylic acid;6-aminopenicillanic acid;6-APA
- CAS NO.:551-16-6
- Empirical Formula: C8H12N2O3S
- Molecular Weight: 216.26
- MDL number: MFCD00005176
- EINECS: 208-993-4
- SAFETY DATA SHEET (SDS)
- Update Date: 2026-01-13 11:14:50
What is 6-Aminopenicillanic acid?
Description
A broad range of affordable semisynthetic penicillins and chephalosporins has been made possible by the use of the intermediate 6-aminopenicillanic acid (6-APA).
Chemical properties
WHITE TO CREAM FINE POWDER
The Uses of 6-Aminopenicillanic acid
(+)-6-Aminopenicillanic Acid is the core structure in penicillins, obtained from the fermentation brew of the Penicillium mold. (+)-6-Aminopenicillanic Acid is used as the main starting block for the preparation of numerous semisynthetic penicillins.
The Uses of 6-Aminopenicillanic acid
6-Aminopenicillanic acid is the basic unit in penicillin?s, which is obtained from the fermentation brew of the Penicillium mold. It acts as a starting material for the preparation of many semisynthetic penicillins. Further, it serves as apharmaceutical intermediate. In addition to this, it is used in antibiotics research and experimental application.
Definition
ChEBI: A penicillanic acid compound having a (6R)-amino substituent. The active nucleus common to all penicillins, it may be substituted at the 6-amino position to form the semisynthetic penicillins, resulting in a variety of antibacterial and ph rmacologic characteristics.
General Description
Chemical structure: ?-lactam
Flammability and Explosibility
Non flammable
Safety Profile
Questionable carcinogen with experimental tumorigenic data. When heated to decomposition it emits very toxic fumes of NOx and SOx.
Purification Methods
This acid crystallises from water. [Kleppe & Stroninger J Biol Chem 254 4856 1979,Beilstein 27 III/IV 2858.]
Properties of 6-Aminopenicillanic acid
| Melting point: | 198-200 °C (dec.)(lit.) |
| Boiling point: | 460.2±45.0 °C(Predicted) |
| alpha | 276.3 º (c=1.2, 0.1N HCl 22 ºC) |
| Density | 1.3418 (rough estimate) |
| refractive index | 1.6300 (estimate) |
| storage temp. | 2-8°C |
| solubility | 2.46g/l |
| pka | pKa 2.3 (Uncertain) |
| form | Fine Powder |
| color | White to cream |
| PH | 3.4 (100g/l, H2O) |
| optical activity | [α]22/D +276.3°, c = 1.2 in 0.1 M HCl |
| Water Solubility | Soluble in water and hydrochoric acid. |
| Merck | 14,458 |
| BRN | 15080 |
| Stability: | Light sensitive |
| CAS DataBase Reference | 551-16-6(CAS DataBase Reference) |
| EPA Substance Registry System | 6-Aminopenicillanic acid (551-16-6) |
Safety information for 6-Aminopenicillanic acid
| Signal word | Warning |
| Pictogram(s) |
![]() Exclamation Mark Irritant GHS07 |
| GHS Hazard Statements |
H319:Serious eye damage/eye irritation |
| Precautionary Statement Codes |
P264:Wash hands thoroughly after handling. P264:Wash skin thouroughly after handling. P280:Wear protective gloves/protective clothing/eye protection/face protection. P305+P351+P338:IF IN EYES: Rinse cautiously with water for several minutes. Remove contact lenses, if present and easy to do. Continuerinsing. P337+P313:IF eye irritation persists: Get medical advice/attention. |
Computed Descriptors for 6-Aminopenicillanic acid
| InChIKey | NGHVIOIJCVXTGV-SDKNWNMFSA-N |
6-Aminopenicillanic acid manufacturer
Dhamtec Pharma And Consultants
New Products
N,N CARBONYL DIIMIDAZOLE 2-Amino-5-bromo-4-(trifluoromethyl)pyridine(RM for Indian lab) (RS)-beta-Amino-beta-(4-bromophenyl)propionic acid Tetrabutylammonium perchlorate N,O-Dimethylhydroxylamine hydrochloride (R)-1-Benzyl-3-pyrrolidinecarbonitrile Bupropian related compound F Lantanoprost rc B Clidinium Bromide Impurity Noradrenaline EP Impurity D/Noradrenaline Methyl Ether Cetirizine EP Impurity A/Cetirizine CBHP Impurity N-Nitroso hydroxy Cetrizine EP Impurity-A 4-(5-amino-1-methyl-1h-benzoimidazol-2-yl)-butyric acid isopropyl ester. 1,4-bis(methylsulfonyl)butane 4-Cyano-N-Methacryloyl-3-Trifluoromethyl Aniline 5-Methyl-1,3-benzenediacetonitrile 4-Fluorothiophenol 1-methyl amino-2,4-dinitro benzene 2-Chloro Benzylcyanide 3,4 Diethoxy Benzylcyanide 3,4 Dimethoxy Benzylcyanide 3-chlorobenzyl cyanide 3-Hydroxypropionitrile 4-Bromo BenzylcyanideRelated products of tetrahydrofuran




![N-[[3-(2,6-Dichlorophenyl)-5-Methyl-4-isoxazolyl]carbonyl]glycine](https://img.chemicalbook.in/CAS/20150408/GIF/883225-99-8.gif)
![[3-(2,6-Dichlorophenyl)-5-methyl-4-isoxazolyl]carbonyl N3-[N-[[3-(2,6-Dichlorophenyl)-5-methyl-4-isoxazolyl]carbonyl]glycinyl]penicilloic Acid](https://img.chemicalbook.in/CAS/20140608/GIF/CB92700086.gif)


You may like
-
551-16-6 Ampicillin EP Impurity A 98%View Details
551-16-6 -
551- 16-6 Amoxicillin EP Impurity A 98%View Details
551- 16-6 -
6-Aminopenicillanic acid 551-16-6 98%View Details
551-16-6 -
6-Aminopenicillanic Acid CAS 551-16-6View Details
551-16-6 -
Flucloxacillin impurity C >98% (HPLC) CAS 551-16-6View Details
551-16-6 -
Amoxicillin Related Compound A >98% (HPLC) CAS 551-16-6View Details
551-16-6 -
6-Aminopenicillanic Acid CAS 551-16-6View Details
551-16-6 -
96% Dicloxacillin EP Impurity C, 25mg,50mg,100mg., Lab GradeView Details
551-16-6

