3-Nitrophthalonitrile
- CAS NO.:51762-67-5
- Empirical Formula: C8H3N3O2
- Molecular Weight: 173.13
- MDL number: MFCD00191558
- EINECS: 450-650-8
- SAFETY DATA SHEET (SDS)
- Update Date: 2026-01-13 11:12:51
What is 3-Nitrophthalonitrile?
Chemical properties
light yellow powder
The Uses of 3-Nitrophthalonitrile
3-Nitrophthalonitrile can be used in solar cells. Dyes and metabolites.
What are the applications of Application
3-Nitrophthalonitrile is a useful dye for biological research purposes
Preparation
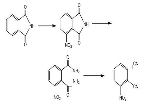
The synthesis of 3-nitrophthalonitrile started with the nitration in position 3 of phthalimide followed by the formation of 3-nitrophthalamide; then dehydration by the thionyl chloride in N, N-dimethylformamide leads to 3-nitrophthalonitrile.
Synthesis of 3-Nitrophthalonitrile
Synthesis Reference(s)
Journal of Heterocyclic Chemistry, 32, p. 495, 1995 DOI: 10.1002/jhet.5570320219
Description
3-Nitrophthalonitrile belongs to nitrile derivatives and can be used as pesticide and pharmaceutical intermediates. It is an important intermediate for the synthesis of nitrophthalocyanine, nitrometallophthalocyanine or other phthalocyanine derivatives.
Properties of 3-Nitrophthalonitrile
| Melting point: | 162-165 °C (lit.) |
| Boiling point: | 386.1±37.0 °C(Predicted) |
| Density | 1.41±0.1 g/cm3(Predicted) |
| vapor pressure | 0Pa at 20-25℃ |
| storage temp. | room temp |
| form | Powder |
| color | White to Light yellow to Green |
| Water Solubility | Soluble in methanol. Insoluble in water. |
| BRN | 2263686 |
| CAS DataBase Reference | 51762-67-5(CAS DataBase Reference) |
| EPA Substance Registry System | 1,2-Benzenedicarbonitrile, 3-nitro- (51762-67-5) |
Safety information for 3-Nitrophthalonitrile
| Signal word | Warning |
| Pictogram(s) |
![]() Exclamation Mark Irritant GHS07 |
| GHS Hazard Statements |
H302:Acute toxicity,oral H315:Skin corrosion/irritation H319:Serious eye damage/eye irritation H335:Specific target organ toxicity, single exposure;Respiratory tract irritation |
| Precautionary Statement Codes |
P261:Avoid breathing dust/fume/gas/mist/vapours/spray. P264:Wash hands thoroughly after handling. P264:Wash skin thouroughly after handling. P270:Do not eat, drink or smoke when using this product. P301+P312:IF SWALLOWED: call a POISON CENTER or doctor/physician IF you feel unwell. P302+P352:IF ON SKIN: wash with plenty of soap and water. P305+P351+P338:IF IN EYES: Rinse cautiously with water for several minutes. Remove contact lenses, if present and easy to do. Continuerinsing. |
Computed Descriptors for 3-Nitrophthalonitrile
3-Nitrophthalonitrile manufacturer
JSK Chemicals
New Products
DL-beta-(3-Bromophenyl)alanine Tetrabutylammonium perchlorate N,O-Dimethylhydroxylamine hydrochloride (RS)-beta-Amino-beta-(4-bromophenyl)propionic acid 2-Amino-5-bromo-4-(trifluoromethyl)pyridine(RM for Indian lab) N,N CARBONYL DIIMIDAZOLE Levothyroxine Impurity-F Montelukast EP Impurity-D/Montelukast USP Related Compound C Atorvastatin FXA Impurity/Atorvastatin Cyclic 6-Hydroxy Impurity Sodium Salt Isosulfan blue Keto N-Oxide Impurity Ivermectin Impurity F N-Nitroso des Methyl Tramadol/N-Nitroso-N-Desmethyl-Tramadol (R)-BoroLeu-(+)-Pinanediol-CF3COOH 1,4-bis(methylsulfonyl)butane 4-(5-amino-1-methyl-1h-benzoimidazol-2-yl)-butyric acid isopropyl ester. 5-Methyl-1,3-benzenediacetonitrile 4-Fluorothiophenol 1-methyl amino-2,4-dinitro benzene CSA (DL-10-Camphorsulfonic Acid) 2-Hydroxy-4-methylnicotinic acid 3-iodo-1H-pyrazolo[3,4-d]pyrimidin-4-amine (2S)-1-((2S,3S)-3-(2-methylbutyl)-4-oxooxetan-2-yl)pentadecan-2-yl formylleucinate 1-(3,5-dichlorophenyl)-2,2,2-trifluoroethane-1-sulfonyl chloride S-(1-(3,5-dichlorophenyl)-2,2,2-trifluoroethyl) ethanethioateRelated products of tetrahydrofuran








You may like
-
51762-67-5 3-Nitrophthalonitrile 98%View Details
51762-67-5 -
51762-67-5 3-Nitrophthalonitrile 99%View Details
51762-67-5 -
3-Nitrophthalonitrile CAS 51762-67-5View Details
51762-67-5 -
3-Nitrophthalonitrile, 99% CAS 51762-67-5View Details
51762-67-5 -
3 Nitro Phthalo NitrileView Details
51762-67-5 -
3-nitrophthalonitrileView Details
51762-67-5 -
3-NITRO PHTHALONITRILE, Grade: 99.9%View Details
51762-67-5 -
3-Nitro PhthalonitrileView Details
51762-67-5

