| Shanghai Qyubiotech Co., Ltd. | |
|---|---|
| Country: | China |
| Tel: | +086-021-37596619 |
| Mobile: | +086-18019359838 |
| E-mail: | info@qyubiotech.com |
| WhatsApp: | Chat Now! |
| Skype: | Chat Now! |
-
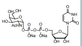
UDP-GalNAc.2Na
CAS:108320-87-2 -
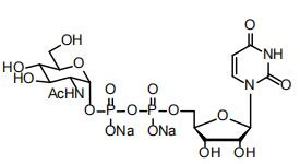
UDP-GlcNAc.2Na
CAS:91183-98-1 -
UDP-GalA.3Na
CAS:148407-07-2 -
UDP-GlcA.3Na
CAS:63700-19-6 -
UDP-Gal.2Na
CAS:137868-52-1 -
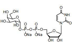
UDP-Glc.2Na
CAS:133-89-1 -
UDP-Xyl.2Na
CAS:108320-89-4 -
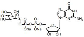
GDP-D-Man.2Na
CAS:103301-73-1 -
GDP-L-Fuc.2Na
CAS:15839-70-0 -
CMP-Neu5Ac.2Na
CAS:3063-71-6 -
Xylazine
CAS:7361-61-7 -
2-Bromo-3-fluoronitrobenzene
CAS:59255-94-6
