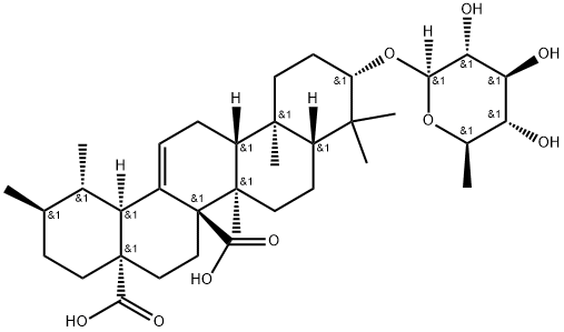
Quivin
- CAS:107870-05-3
- MF:C36H56O9
- MW:632.84
- Melting point::
- 237-238 °C
- Boiling point::
- 753.3±60.0 °C(Predicted)
- Density :
- 1.27±0.1 g/cm3(Predicted)
- storage temp. :
- -20°C
- pka:
- 4.25±0.70(Predicted)
- Hazard statements
- H413
Cinchonaglycoside A 107870-05-3
Pack Size
Purity
Availability
Price
1mg
≥95% (LC/MS-ELSD)
₹112413
Update time:2024-08-21


