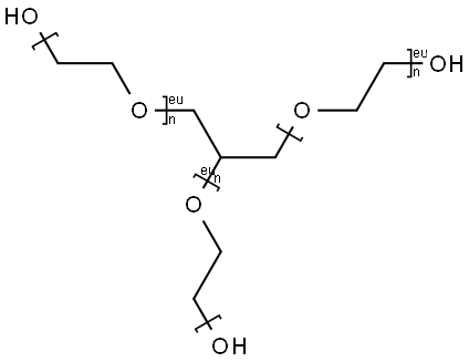
GLYCEROL ETHOXYLATE
- CAS:31694-55-0
- MF:(C2H4O)n(C2H4O)n(C2H4O)nC3H8O3
- MW:0
- EINECS:500-075-4
- Boiling point::
- >200 °C(lit.)
- Density :
- 1.138 g/mL at 25 °C(lit.)
- vapor pressure :
- 0.004Pa at 20℃
- refractive index :
- n
20/D 1.473(lit.)
- Flash point::
- >230 °F
- storage temp. :
- no restrictions.
- solubility :
- H2O: soluble
- PH:
- 6-8 (100g/l, H2O, 20℃)
- PH Range:
- 5.5 - 7.5
- Water Solubility :
- 1000g/L at 20℃
Pack Size
Purity
Availability
Price
2.5L
for heating baths up to approx. 170°C
₹30310
Update time:2024-08-21




