- Price
Supplier Type
- Trader
Supplier Region
- Karnataka(1)
Purity
- 99%
- >98.0%(T)(HPLC)
- 98%
Package
- 5g
- 25G
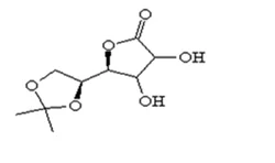
(+)-5,6-O-Isopropylidene-L-ascorbic acid
- CAS:15042-01-0
- MF:C9H12O6
- MW:216.19
- Melting point::
- 217 °C (dec.)
- alpha :
- 10.5 º (c=5%, MeOH)
- Boiling point::
- 395.2±42.0 °C(Predicted)
- Density :
- 1.518±0.06 g/cm3(Predicted)
- refractive index :
- 10 ° (C=5, MeOH)
- storage temp. :
- 2-8°C
- solubility :
- Acetone, DMSO, Ethanol, Methanol
- form :
- Solid
- pka:
- 3.99±0.10(Predicted)
- color :
- Off-White
- optical activity:
- [α]19/D +25.3°, c = 1 in H2O
- BRN :
- 86893
- Symbol(GHS)

GHS07
- Signal word
- Warning
- Hazard statements
- H315-H319-H335
- Precautionary statements
- P261-P305+P351+P338
5,6-Isopropylidene-L-ascorbic acid 15042-01-0
Pack Size
Purity
Availability
Price
5g
98%
₹13064.5
Update time:2024-08-21




