99237-33-9
Product Name:
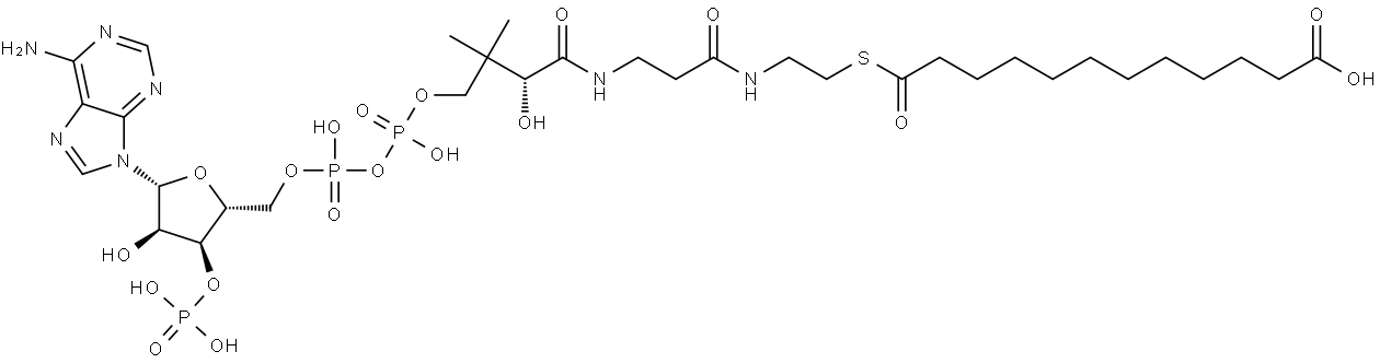
Dodecanedioyl CoA
DISCONTINUED. Please see D495064.
Formula:
C33H56N7O19P3S
Inquiry
There is currently no information available
