960506-35-8
Product Name:
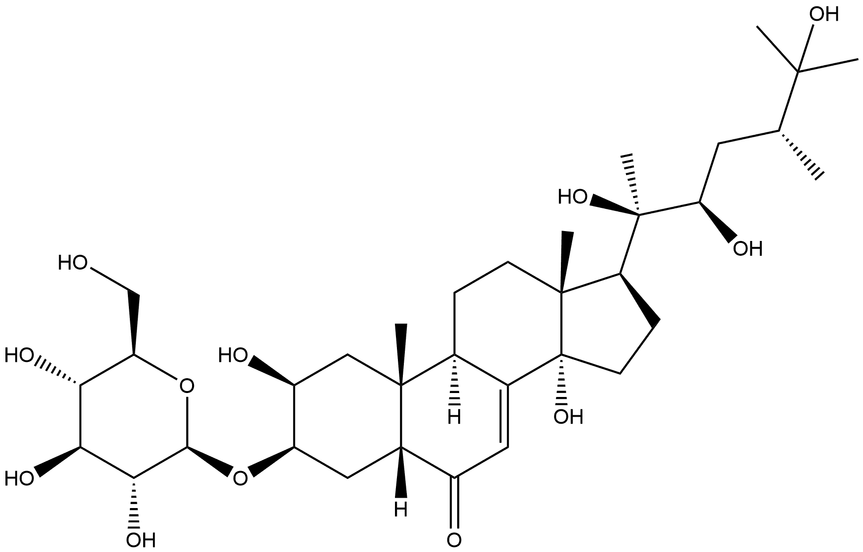
Ergost-7-en-6-one, 3-(β-D-glucopyranosyloxy)-2,14,20,22,25-pentahydroxy-, (2β,3β,5β,22R,24R)-
Formula:
C34H56O12
Inquiry
COMPUTED DESCRIPTORS
| Molecular Weight | 656.8 g/mol |
|---|---|
| XLogP3 | -0.7 |
| Hydrogen Bond Donor Count | 9 |
| Hydrogen Bond Acceptor Count | 12 |
| Rotatable Bond Count | 8 |
| Exact Mass | 656.37717722 g/mol |
| Monoisotopic Mass | 656.37717722 g/mol |
| Topological Polar Surface Area | 218 Ų |
| Heavy Atom Count | 46 |
| Formal Charge | 0 |
| Complexity | 1190 |
| Isotope Atom Count | 0 |
| Defined Atom Stereocenter Count | 16 |
| Undefined Atom Stereocenter Count | 0 |
| Defined Bond Stereocenter Count | 0 |
| Undefined Bond Stereocenter Count | 0 |
| Covalently-Bonded Unit Count | 1 |
| Compound Is Canonicalized | Yes |
PRODUCT INTRODUCTION
description
fibraurecdyside A is a natural product found in Fibraurea tinctoria with data available.
