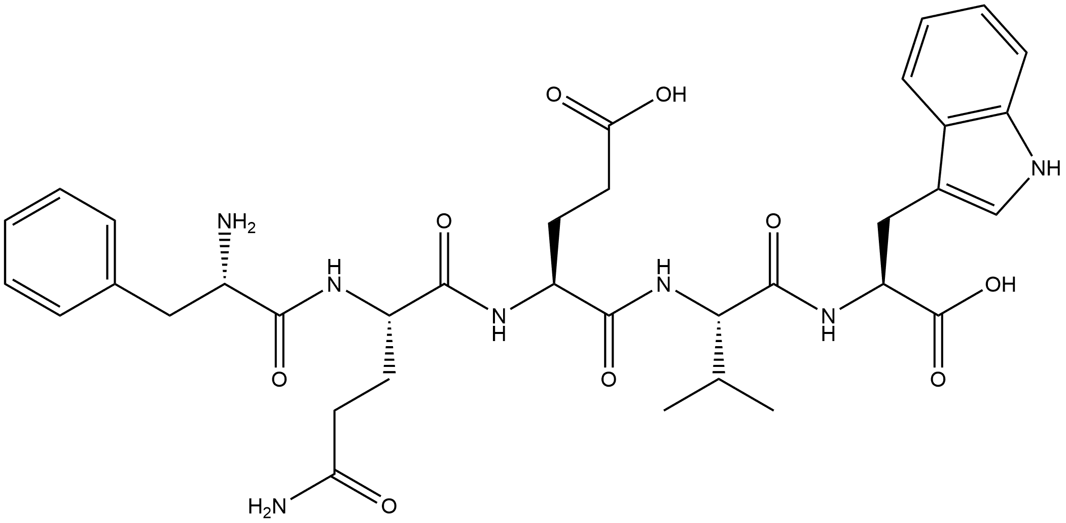
915373-50-1
Product Name:
L-Tryptophan, L-phenylalanyl-L-glutaminyl-L-α-glutamyl-L-valyl-
Formula:
C35H45N7O9
Inquiry
There is currently no information available
