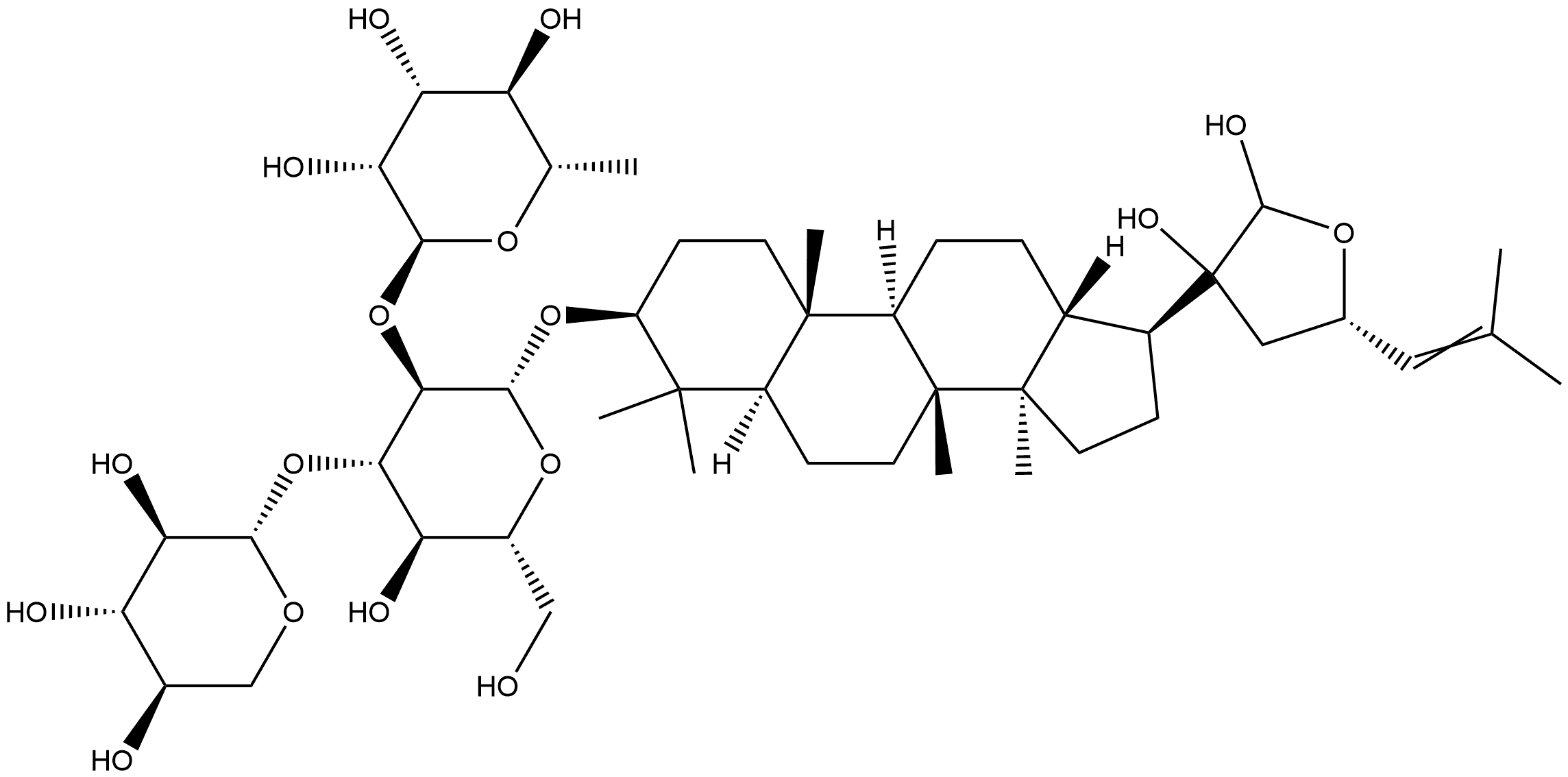
902755-63-9
Product Name:
β-D-Glucopyranoside, (3β,20ξ)-21,23-epoxy-20,21-dihydroxydammar-24-en-3-yl O-6-deoxy-α-L-mannopyranosyl-(1→2)-O-[β-D-xylopyranosyl-(1→3)]-
Formula:
C47H78O17
Inquiry
There is currently no information available
