884332-14-3
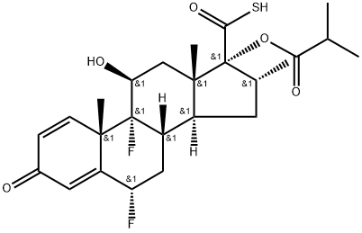
Product Name:
(6α,11β,16α,17α)-6,9-Difluoro-11-hydroxy-16-methyl-17-(2-methyl-1-oxopropoxy)-3-oxo-androsta-1,4-diene-17-carbothioic Acid
Formula:
C25H32F2O5S
Inquiry
COMPUTED DESCRIPTORS
| Molecular Weight | 482.6 g/mol |
|---|---|
| XLogP3 | 4 |
| Hydrogen Bond Donor Count | 2 |
| Hydrogen Bond Acceptor Count | 8 |
| Rotatable Bond Count | 4 |
| Exact Mass | 482.19385161 g/mol |
| Monoisotopic Mass | 482.19385161 g/mol |
| Topological Polar Surface Area | 81.7 Ų |
| Heavy Atom Count | 33 |
| Formal Charge | 0 |
| Complexity | 978 |
| Isotope Atom Count | 0 |
| Defined Atom Stereocenter Count | 9 |
| Undefined Atom Stereocenter Count | 0 |
| Defined Bond Stereocenter Count | 0 |
| Undefined Bond Stereocenter Count | 0 |
| Covalently-Bonded Unit Count | 1 |
| Compound Is Canonicalized | Yes |
