83921-05-5
Product Name:
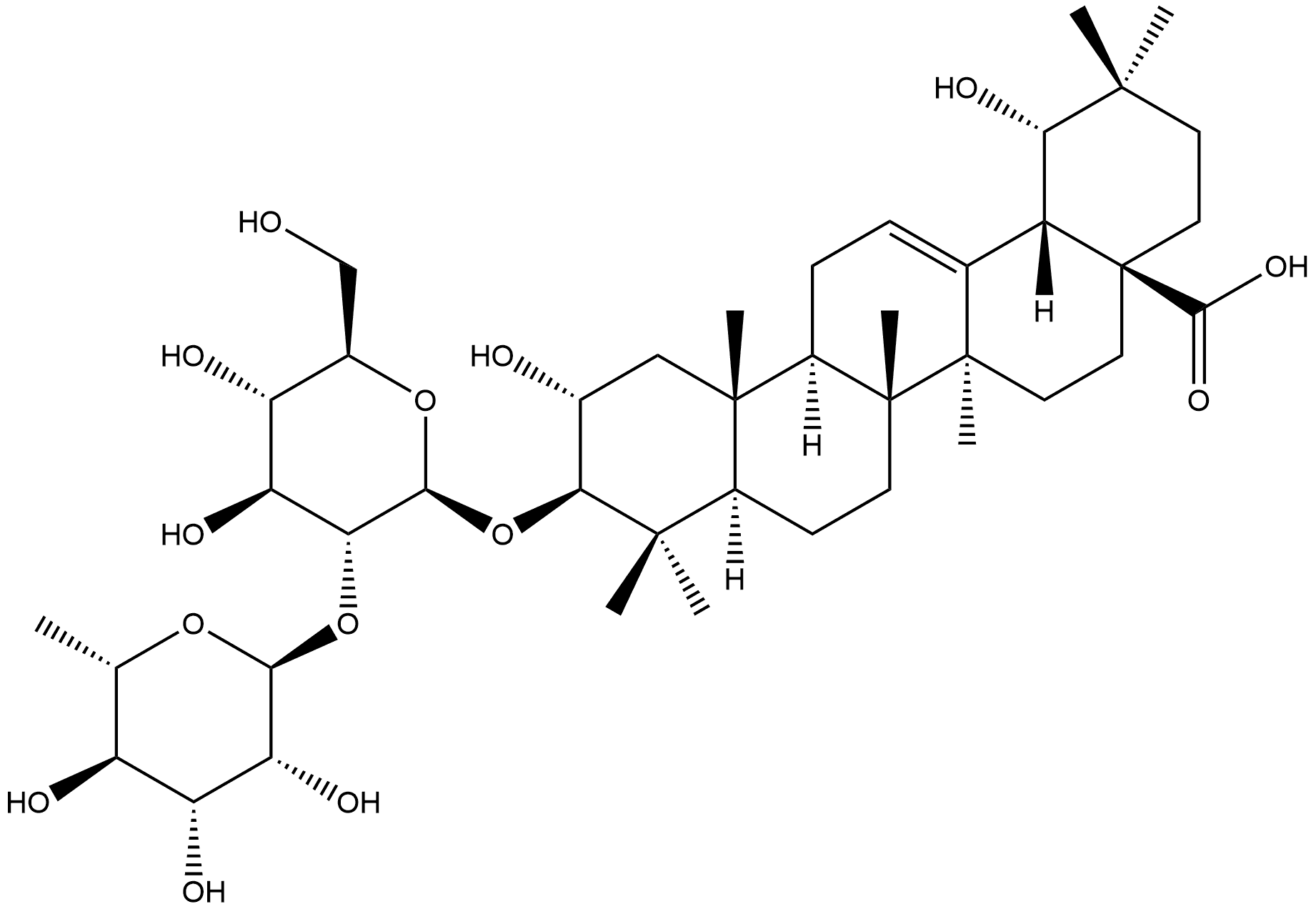
Olean-12-en-28-oic acid, 3-[[2-O-(6-deoxy-α-L-mannopyranosyl)-β-D-glucopyranosyl]oxy]-2,19-dihydroxy-, (2α,3β,19α)-
Formula:
C42H68O14
Inquiry
There is currently no information available
