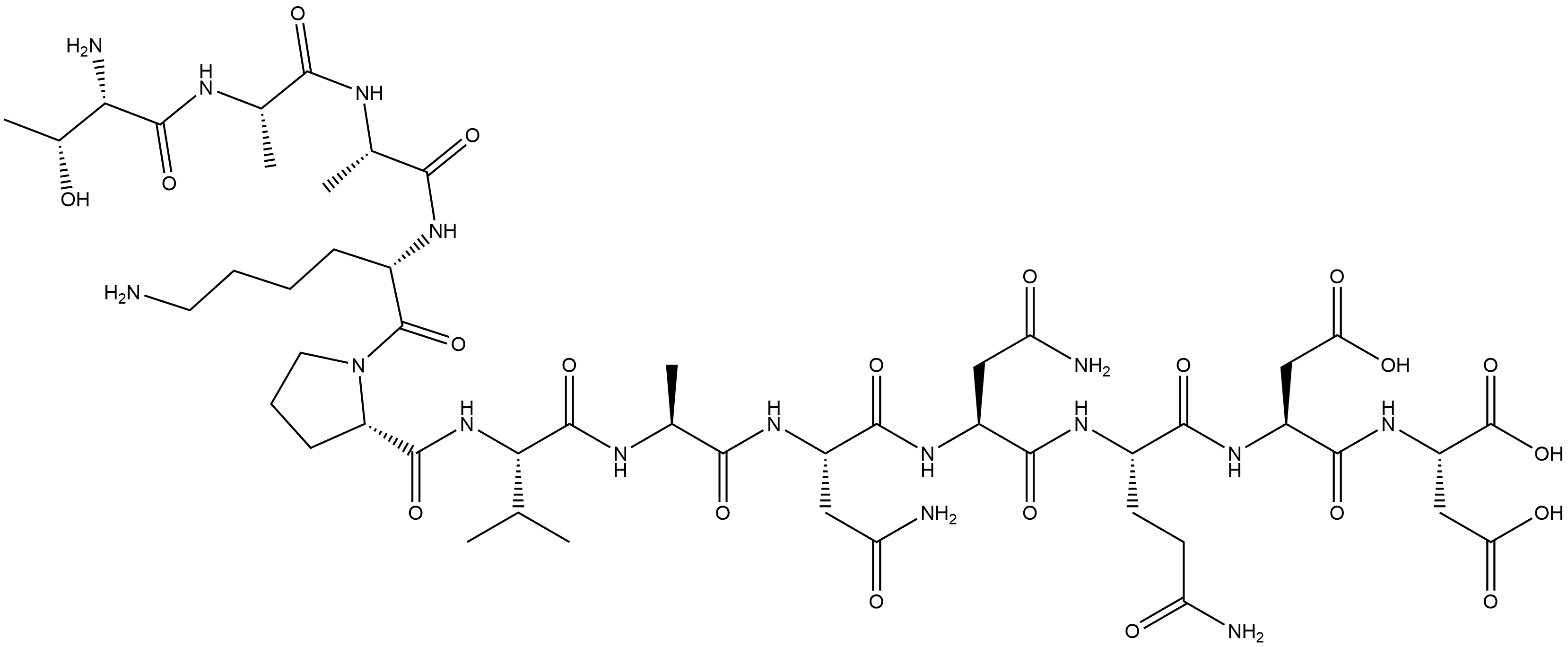
823835-58-1
Product Name:
L-Aspartic acid, L-threonyl-L-alanyl-L-alanyl-L-lysyl-L-prolyl-L-valyl-L-alanyl-L-asparaginyl-L-asparaginyl-L-glutaminyl-L-α-aspartyl- (9CI)
Formula:
C50H82N16O21
Inquiry
There is currently no information available
