6891-94-7
Product Name:
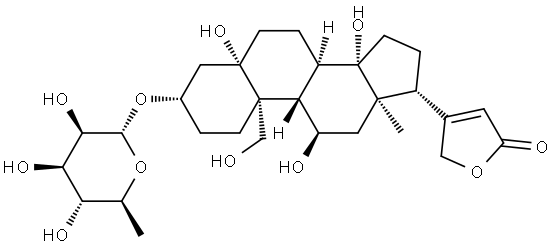
3β-[(6-Deoxy-α-L-mannopyranosyl)oxy]-5,11α,14,19-tetrahydroxy-5β-card-20(22)-enolide
Formula:
C29H44O11
Inquiry
COMPUTED DESCRIPTORS
| Molecular Weight | 568.7 g/mol |
|---|---|
| XLogP3 | -1.8 |
| Hydrogen Bond Donor Count | 7 |
| Hydrogen Bond Acceptor Count | 11 |
| Rotatable Bond Count | 4 |
| Exact Mass | 568.28836222 g/mol |
| Monoisotopic Mass | 568.28836222 g/mol |
| Topological Polar Surface Area | 186 Ų |
| Heavy Atom Count | 40 |
| Formal Charge | 0 |
| Complexity | 1050 |
| Isotope Atom Count | 0 |
| Defined Atom Stereocenter Count | 8 |
| Undefined Atom Stereocenter Count | 6 |
| Defined Bond Stereocenter Count | 0 |
| Undefined Bond Stereocenter Count | 0 |
| Covalently-Bonded Unit Count | 1 |
| Compound Is Canonicalized | Yes |
