67370-01-8
Product Name:
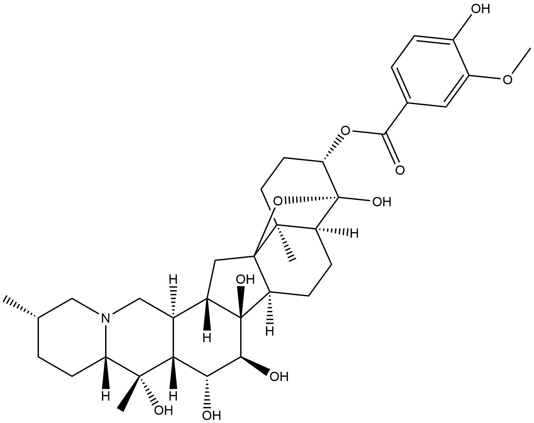
Cevane-3,4,14,15,16,20-hexol, 4,9-epoxy-, 3-(4-hydroxy-3-methoxybenzoate), (3β,4α,15α,16β)- (9CI)
Formula:
C35H49NO10
Inquiry
COMPUTED DESCRIPTORS
| Molecular Weight | 643.8 g/mol |
|---|---|
| XLogP3 | 1.8 |
| Hydrogen Bond Donor Count | 6 |
| Hydrogen Bond Acceptor Count | 11 |
| Rotatable Bond Count | 4 |
| Exact Mass | 643.33564676 g/mol |
| Monoisotopic Mass | 643.33564676 g/mol |
| Topological Polar Surface Area | 169 Ų |
| Heavy Atom Count | 46 |
| Formal Charge | 0 |
| Complexity | 1250 |
| Isotope Atom Count | 0 |
| Defined Atom Stereocenter Count | 9 |
| Undefined Atom Stereocenter Count | 6 |
| Defined Bond Stereocenter Count | 0 |
| Undefined Bond Stereocenter Count | 0 |
| Covalently-Bonded Unit Count | 1 |
| Compound Is Canonicalized | Yes |
