67232-80-8
Product Name:
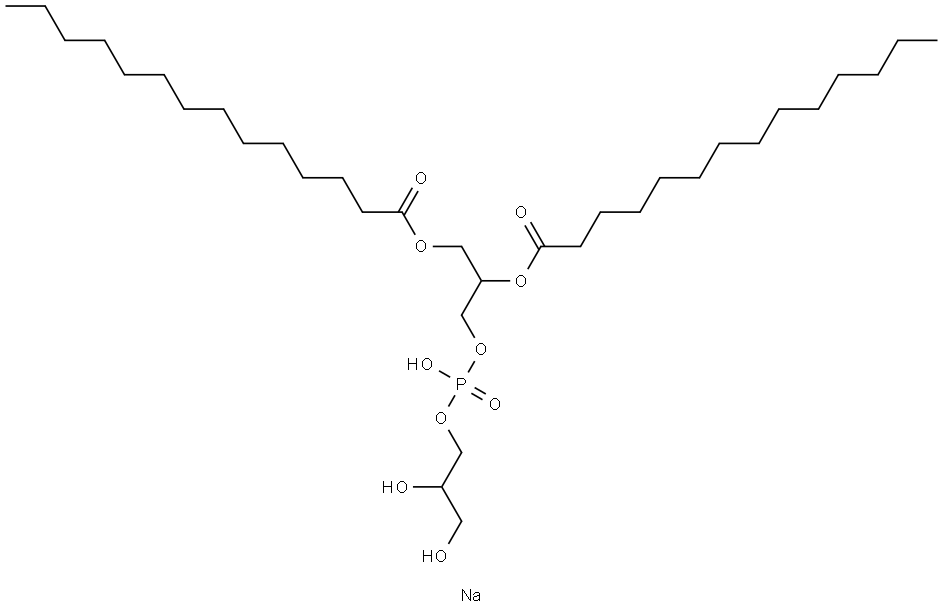
1,2-DITETRADECANOYL-SN-GLYCERO-3-[PHOSPHO-RAC-(1-GLYCEROL)] SODIUM SALT
Formula:
C34H67O10P.Na
Inquiry
COMPUTED DESCRIPTORS
| Molecular Weight | 689.9 g/mol |
|---|---|
| Hydrogen Bond Donor Count | 3 |
| Hydrogen Bond Acceptor Count | 10 |
| Rotatable Bond Count | 36 |
| Exact Mass | 689.43695461 g/mol |
| Monoisotopic Mass | 689.43695461 g/mol |
| Topological Polar Surface Area | 149 Ų |
| Heavy Atom Count | 46 |
| Formal Charge | 0 |
| Complexity | 736 |
| Isotope Atom Count | 0 |
| Defined Atom Stereocenter Count | 0 |
| Undefined Atom Stereocenter Count | 2 |
| Defined Bond Stereocenter Count | 0 |
| Undefined Bond Stereocenter Count | 0 |
| Covalently-Bonded Unit Count | 2 |
| Compound Is Canonicalized | Yes |
