663933-94-6
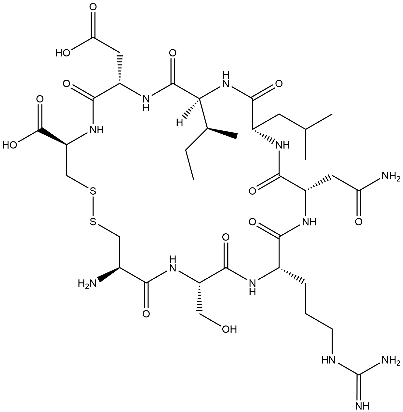
Product Name:
L-Cysteine, L-cysteinyl-L-seryl-L-arginyl-L-asparaginyl-L-leucyl-L-isoleucyl-L-α-aspartyl-, cyclic (1→8)-disulfide
Formula:
C35H60N12O13S2
Inquiry
There is currently no information available
