6198-82-9
Product Name:
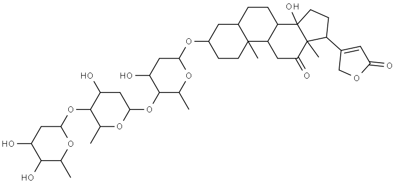
Card-20(22)-enolide, 3-[(O-2,6-dideoxy-β-D-ribo-hexopyranosyl-(1→4)-O-2,6-dideoxy-β-D-ribo-hexopyranosyl-(1→4)-2,6-dideoxy-β-D-ribo-hexopyranosyl)oxy]-14-hydroxy-12-oxo-, (3β,5β)- (9CI)
Formula:
C41H62O14
Inquiry
COMPUTED DESCRIPTORS
| Molecular Weight | 307.8 g/mol |
|---|---|
| XLogP3 | 3.4 |
| Hydrogen Bond Donor Count | 1 |
| Hydrogen Bond Acceptor Count | 4 |
| Rotatable Bond Count | 5 |
| Exact Mass | 307.0546109 g/mol |
| Monoisotopic Mass | 307.0546109 g/mol |
| Topological Polar Surface Area | 80.2 Ų |
| Heavy Atom Count | 20 |
| Formal Charge | 0 |
| Complexity | 319 |
| Isotope Atom Count | 0 |
| Defined Atom Stereocenter Count | 0 |
| Undefined Atom Stereocenter Count | 1 |
| Defined Bond Stereocenter Count | 0 |
| Undefined Bond Stereocenter Count | 0 |
| Covalently-Bonded Unit Count | 1 |
| Compound Is Canonicalized | Yes |
