5938-86-3
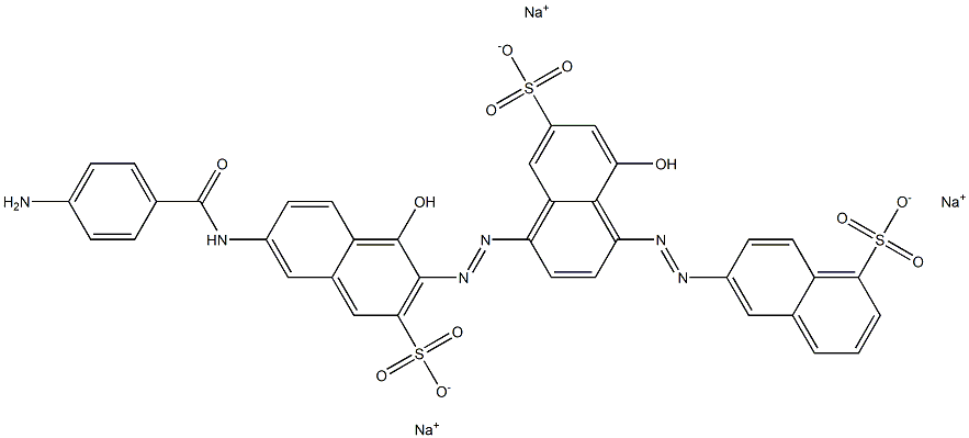
Product Name:
1-Naphthalenesulfonic acid, 6-[[4-[[6-[(4-aminobenzoyl)amino]-1-hydroxy-3-sulfo-2-naphthalenyl]azo]-8-hydroxy-6-sulfo-1-naphthalenyl]azo]-, trisodium salt
Formula:
C37H23N6Na3O12S3
Inquiry
