57326-15-5
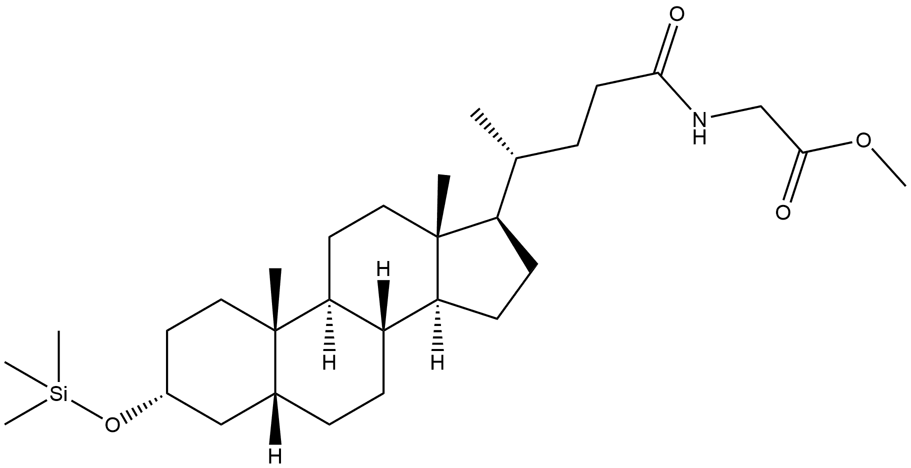
Product Name:
N-[24-Oxo-3α-(trimethylsiloxy)-5β-cholan-24-yl]glycine methyl ester
Formula:
C30H53NO4Si
Inquiry
COMPUTED DESCRIPTORS
| Molecular Weight | 519.8 g/mol |
|---|---|
| Hydrogen Bond Donor Count | 1 |
| Hydrogen Bond Acceptor Count | 4 |
| Rotatable Bond Count | 9 |
| Exact Mass | 519.37438571 g/mol |
| Monoisotopic Mass | 519.37438571 g/mol |
| Topological Polar Surface Area | 64.6 Ų |
| Heavy Atom Count | 36 |
| Formal Charge | 0 |
| Complexity | 811 |
| Isotope Atom Count | 0 |
| Defined Atom Stereocenter Count | 9 |
| Undefined Atom Stereocenter Count | 0 |
| Defined Bond Stereocenter Count | 0 |
| Undefined Bond Stereocenter Count | 0 |
| Covalently-Bonded Unit Count | 1 |
| Compound Is Canonicalized | Yes |
