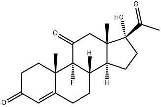
426-22-2
Product Name:
Pregn-4-ene-3,11,20-trione, 9-fluoro-17-hydroxy- (6CI,7CI,8CI,9CI)
Formula:
C21H27FO4
Inquiry
There is currently no information available
