405075-82-3
Product Name:
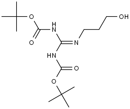
3-[2,3-Bis(tert-butoxycarbonyl)guanidino]propanol
Formula:
C14H27N3O5
Inquiry
COMPUTED DESCRIPTORS
| Molecular Weight | 317.38 g/mol |
|---|---|
| XLogP3 | 2.6 |
| Hydrogen Bond Donor Count | 3 |
| Hydrogen Bond Acceptor Count | 6 |
| Rotatable Bond Count | 9 |
| Exact Mass | 317.19507097 g/mol |
| Monoisotopic Mass | 317.19507097 g/mol |
| Topological Polar Surface Area | 109 Ų |
| Heavy Atom Count | 22 |
| Formal Charge | 0 |
| Complexity | 376 |
| Isotope Atom Count | 0 |
| Defined Atom Stereocenter Count | 0 |
| Undefined Atom Stereocenter Count | 0 |
| Defined Bond Stereocenter Count | 0 |
| Undefined Bond Stereocenter Count | 0 |
| Covalently-Bonded Unit Count | 1 |
| Compound Is Canonicalized | Yes |
