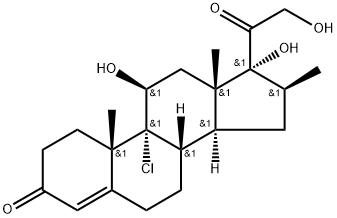
34542-51-3
Product Name:
Pregn-4-ene-3,20-dione, 9-chloro-11,17,21-trihydroxy-16-methyl-, (11β,16β)- (9CI)
Formula:
C22H31ClO5
Inquiry
There is currently no information available
