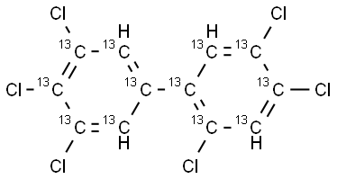
208263-69-8
Product Name:
2,3',4,4',5,5'-HEXACB (PCB-167) (13C12, 99%) 40+/-2 ug/ml in Nonane
Formula:
C12H4Cl6
Inquiry
There is currently no information available
